时间:2023-08-24 16:15
人气:
作者:admin
01引言
2013年,Bianco等通过CaGe2拓扑化学剥离的方法,首次在实验上合成了具有较高热稳定性和抗氧化性的单层锗烷。锗烷因其合适的带隙、较高的电子迁移速率、较好的环境稳定性、较小的电噪声和超薄的几何结构,有望取代现有硅基或锗基材料成为下一代半导体器件的理想载体。目前,成熟的脱氢技术已可实现较为精确可控的氢缺陷调制,这有利于脱去锗烷特定位置和特定数量的氢原子。尤其值得关注的是,脱氢还往往会诱导体系产生磁性,而具有可调控的磁性是量子信息器件应用的前提。因此,采用脱氢的方式调控锗烷的电子性质仍具有较大的优势。尽管如此,锗烷基半导体器件在实际应用中仍面临许多挑战,其中一个重大挑战便是如何实现有效且安全可控的载流子掺杂。而传统的半导体掺杂很容易破坏仅有原子层级别厚度的二维半导体材料。相比之下,在不损坏衬底材料的前提下,表面非共价吸附分子是一种安全有效的载流子掺杂方式。基于以上的考虑,本文系统研究了氢空位簇对锗烷电子结构的调控以及锗烷中分子掺杂的影响。
02成果简介
本文基于密度泛函理论和非平衡格林函数的第一性原理方法,使用鸿之微的DS-PAW和Nanodcal软件研究了不同构型和浓度的氢空位簇对锗烷电子结构及锗烷中Tetrathiafulvalene (TTF)分子掺杂性能的影响。计算结果表明,不同构型氢空位簇的引入可诱导GermananeDehydrogenated-xH(GD-xH)体系产生不同性质的磁性,且磁矩大小亦与Lieb定理的预测结果相符,并能在GD-xH/TTF (x=1,4, 6)体系自旋向下的能带结构中实现由缺陷态引起的类p型半导体掺杂效应,其电子激发所需的能量则会随着体系脱氢浓度的升高而不断降低。吸附TTF分子后,G/TTF和GD-xH/TTF(x=1, 2, 6)体系表现出分子掺杂效应,且GD-xH/TTF (x=1, 6)体系因分子轨道与缺陷态的杂化作用,可在自旋向上与自旋向下的能带结构中形成不同的掺杂类型。进一步的量子输运计算还表明,Armchair和Zigzag类型的锗烷基器件表现为明显的各向同性,且TTF分子吸附所导致的载流子掺杂可大幅提高其I-V特性。
03图文导读

图1锗烷中典型的四种氢空位簇构型俯视图:(a) GD-1H;(b) GD-2H;(c) GD-4H;(d) GD-6H,蓝色、绿色小球分别代表Ge和H原子

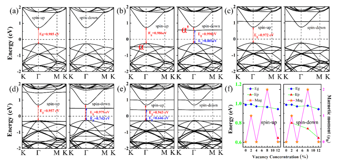
图2 (a)-(e)锗烷和不同氢空位簇锗烷GD-xH(x=1, 2, 4, 6)体系对应的能带结构; (f) Eg, Ep和体系磁矩随脱氢浓度的变化

图3G/TTF和GD-xH/TTF (x=1, 2, 4, 6)最佳吸附构型的俯视图和侧视图:(a) H2-site;(b) V2-side, (c) B2-side, (d) H2-side, (e) V2-side.蓝色、绿色、红色和棕色小球分别代表Ge、H、S和C原子

图4 (a) G/TTF和(b)-(e) GD-xH/TTF (x=1, 2, 4, 6)体系对应能带结构,其中绿色和粉色平带分别代表由TTF分子贡献和脱氢处的Ge原子贡献,橙色平带代表由TTF分子和脱氢处Ge原子共同贡献;(f) Eg, En, Ep和体系净磁矩随脱氢浓度的变化

图5 G/TTF体系和GD-xH/TTF (x=1, 2, 4, 6)体系的HOMO和LUMO.等值面设为0.004e/Å3

图6 (a)-(e) G/TTF和GD-xH/TTF (x=1, 2, 4, 6)体系的差分电荷密度俯视和侧视图.青色和黄色分别代表失电荷和得电荷.等值面设为(a) 0.0002 e/Å3, (b)-(e) 0.001 e/Å3

图7 (a)-(b)基于Armchair和Zigzag构型的锗烷基纳米器件模

图8 (a)-(b) Armchair和Zigzag类型的锗烷器件模型的电子透射谱和态密度图.蓝色实线表示透射谱曲线,绿色虚线表示态密度

图9 (a)-(d)本征锗烷、G/TTF和GD-xH/TTF (x=1, 2)基器件的I-V特性曲线
04 小结
本文使用鸿之微的DS-PAW和Nanodcal软件,研究了不同构型和浓度的氢空位簇对锗烷的电子结构及其TTF分子掺杂效应的影响,并基于非平衡格林函数计算了对应的锗烷基纳米器件的电子输运特性。研究结果表明,引入氢空位簇可以有效地调控体系的磁性和能带结构,且磁矩大小符合Lieb定理预测分析,并可在具有磁性的GD-xH(x=1, 4, 6)体系自旋向下的能带结构中形成由缺陷态引入的类p型掺杂效应。吸附TTF分子后,不同于G/TTF和GD-2H/TTF体系中形成的n型分子掺杂效应,GD-xH/TTF(x=1, 6)体系在分子轨道与缺陷态的共同作用下,可在自旋向上与自旋向下的能带结构中分别形成n型与p型两种不同的掺杂效应。而GD-4H/TTF体系中的类n型或类p型掺杂效应仍由氢空位簇的缺陷态引入。进一步的量子输运计算结果表明,Armchair和Zigzag构型的器件输运特性都表现出了明显的各向同性,而吸附TTF分子能极大地改善器件的I-V特性曲线。
审核编辑:刘清