时间:2023-08-15 11:10
人气:
作者:admin
我们经常在芯片的数据手册中看到一些三角形符号,那些符号就是运算大器(operational amplifier),简称运放(op-amp)。


运算放大器起源于模拟计算机时代,用于进行加、减法、微分、积分等数学运算,因此被称为运算放大器。

通常,放大器是指一种将输入端的小电压信号放大后在输出端输出的器件。
放大器的增益(Gain)是指输出与输出信号的的幅度之间的比率,也就是放大倍数。
举个例子。下面这个放大器的输入信号幅度为 1 伏,输出信号的幅度变为 5 伏,增益为 5:

电路中的运放一般长这样,有5个引脚:

这是输出引脚,输出信号会从这里出来:

标有**+** 的是同相输入(Non-inverting input)引脚, 标有**-** 的是反相输入(Inverting input)引脚:

这两个引脚是运算放大器的正负电源引脚:

不同于阻容感等无源器件,运放需要外部电源来供电,它是个有源器件。
一般来说,电源电压至少需要比所需的输出电压高一两伏左右。比如,如果你想要的输出电压峰峰值分别为正负10 伏:

那么你的电源电压至少要为正负 12 伏:

如果你的运放供电不足,会导致输出信号振幅失真:

很多运放需要正负双电源。如果你将两个 9 伏电池像下面这样串联,并且以中间连接点为接地参考,你就有了一个很好的正负电压双电源。确保在电源上放置电容以稳定电源电压:
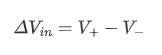
运放放大的既不是同相输入信号,也不是反相输入信号。运放放大的是这两个输入信号的 压差 。
我们用 V+ 表示同相输入信号,用 V- 表示反相输入信号,用 AOL 表示运放的开环增益,用 Vout 表示输出信号。则输出信号与输入信号的关系可用下面的方程式表示:

开环是指输入引脚和输出引脚之间没有任何连接,也就是输出信号不会反馈到输入信号上;反之,如果输出信号和输入信号之间有某种连接,比如通过电阻或电容,那么输出信号就会反馈到输入信号,就是闭环连接。
如果我们用 ΔVin 表示压差,即:

则上述方程式可进一步表达为:

理想运放的放大的倍数为无穷大。一般运放的典型开环放大倍数在 10 万倍以上。
由于开环增益 AOL 非常大,我们以 10 万倍为例,假设正电源电压为 9 伏,负电源电压为 -9 伏。
如果 V+ 大于 V- , 比如这个差值 ΔVin 非常小,为 1 毫伏,也就是 0.001 伏,则 :

因为正电源电压为 9 伏,所以输出不可能到达 100 伏,最多为 9 伏。
如果 V+ 小于 V-, 差值也是 1 毫伏,带入方程计算输出电压:

同样因为负电源 -9 伏的限制,输出为 -9 伏。
我们从另一个角度想,对于一个开环增益为 10 万倍的运放来说,只要 V+ 比 V- 大 0.09 毫伏,就会导致运放输出饱和(Saturation), 进而输出电压接近正电源电压:

LM358 的典型开环增益可达 14 万倍:

总结一下上面可以有以下结论:


下图中, 5V < 3V, 因此运放的输出为 9 伏:

下图中, 3V < 5V,因此运放输出 -9 伏:

因为运放的开环的增益非常大,输入之间非常小的压差经过放大后都会是一个非常大的值,可以说运放是一个非常敏感的器件。
给运放的引脚输入一个非常精确的电压 2.500 伏。
如果同相引脚电压为 2.51 伏,输出将会是高电平:

如果同相引脚电压是 2.49 伏,输出将会是负电源电压

我们在面包板上搭建一个运放比较器电路来验证上面的说法。
在运放的反相输入引脚,我们通过一个简单的电阻分压器输入一个 4.5 伏的参考电压。在运放的同相输入引脚上,我们连接一个电位器,此引脚的输入范围为 0 伏 ~ 9 伏。

运放我们使用 LM358P。
按照之前的分析,当同相输入引脚的电压小于 4.5 伏时,运放输出引脚应该输出负电源点压,也就是 -9 伏;
当同相输入引脚电压大于 4.5 伏时,运放输出引脚应该输出正电源电压,也就是 9 伏。
示波器探头 CH1 接反相输入引脚, 下图中黄色;示波器 CH2 接同相输入引脚,下图中青色;示波器 CH3 接运放输出引脚,紫色。我们将三个通道的零电平位置都放到垂直中间位置。
我们逐渐调高同相输入引脚的电压,使之接近 4. 5 伏:

图中反相输入引脚的实际电压 是 4.38 伏左右。可以看到同相输入引脚电压小于反相输入引脚电压时,运放输出为负电源电压,-9.1 伏;当同相输入引脚大于反相输入引脚电压时,运放输出正电源电压,7.67 伏,因为运放内部三级管有压降,所以比正电源电压低一些。
我们通过另一个例子来学习运放。
我们把运放的反相输入引脚接地,给运放的同相输入引脚输入一个峰峰值为 4 伏,频率为 100 赫兹的正弦波。电路图如下:

波形截图如下:

可以看到,当同相引脚电压大于 0 伏时,输出高电平;当同相引脚的电压低于 0 伏时,输出低电平。
运放用作比较器时,输入与输出之间的关系可以用下面的图来表达:

当 Vin 大于 0 伏时,输出为 +Vsat ;
当 Vin 小于 0 伏时,输出为 -Vsat 。
如果输入信号从反相引脚输入,则输入与输出的关系可用下图表达:

参考电压不仅可以为零伏,也可以设置成其他的值,比如 1 伏:

上图中,CH3 为反相端参考电压。CH1 为同相端输入信号,CH2 为输出引脚信号。可见,当信号大于 1 伏时,输出正电源电压;当信号小于 1 伏时,输出负电源电压。
今天我们学习了运放的基本概念,知道了运放放大的是两个输入引脚之间的压差,并且运放的开环增益非常大。
我们通过两个具体电路学习了运放的比较器电路。