时间:2023-08-03 14:43
人气:
作者:admin
在选购无源晶振时,经常会被问到:“您需要多少pF的晶振?” 这里的pF是无源晶振负载电容值的单位。电容的大小影响无源晶振的起振时间、频率稳定度等。
不同于振荡器,谐振器需要匹配外部谐振电路才可以输出信号,自身无法振荡。在选择晶体的负载电容时,我们要尽量权衡能量损耗和频率的稳定性。同一封装尺寸的晶体,负载越小,能耗越低。
常用的负载电容
无源晶振常用的负载电容:
kHz晶体:6,7,9,12.5pF
MHz晶体:8,9,12,15,18,20pF

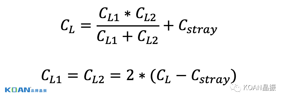
根据负载电容选择匹配电容C1和C2, 通常C1=C2:
当负载电容CL=12.5pF,建议外接电容C1=C2=15~18pF
当负载电容CL=9pF,建议外接电容C1=C2=12pF
Cstray
杂散电容Cstray的值一般为4~6pF。杂散电容可能对无源晶振的输出频率精度及稳定性造成不确定性影响。一般情况下,杂散电容会因电路板的复杂程度及/或布线设计的不合理性而增加。
负载电容值大小的影响
如果负载电容CL很大,静态电容C0的改变对频率变化的影响很小,频率更加稳定。所以负载高,远端相位噪声好;若数过大,则很难调整到标称频率,晶振不容易起振。
相反,如果负载电容CL很小,静电容C0的微小变化会造成频率的明显变化。近端相位噪声好,容易调整频率,晶振容易起振。
选择KOAN晶振的原因
KOAN晶振公司配备了E5052B信号分析仪器(测量相位噪声和抖动)、S&A280B、S&A250B测试仪器,以及高低温箱,抗冲击试验设备。我们能够检测在温度、负载和功率电压变化条件下的频率稳定性。
审核编辑:刘清