时间:2023-07-31 16:07
人气:
作者:admin
知识图谱嵌入(KGE)是一种利用监督学习来学习嵌入以及节点和边的向量表示的模型。它们将“知识”投射到一个连续的低维空间,这些低维空间向量一般只有几百个维度(用来表示知识存储的内存效率)。向量空间中,每个点代表一个概念,每个点在空间中的位置具有语义意义,类似于词嵌入。
一个好的KGE 应该具有足够的表现力来捕获 KG 属性,这些属性解决了表示关系的独特逻辑模式的能力。并且KG 可以根据要求添加或删除一些特定属性。KGE算法可分为两类:
以下是常见的KGE 模型在捕获关系类型方面的比较,我们将对这些常见的模型进行比较

TransE

提出了一种基于翻译的知识图谱嵌入模型,可以捕获多关系图中的翻译方差不变性现象。知识图谱中的事实是用三元组 ( h , l , t ) 表示的,transE算法的思想非常简单,它受word2vec平移不变性的启发,希望h + l ≈ t h+l≈th+l≈t。

这里的l1/l2是范数约束。
TransE的伪代码如下:

TransE多次在大规模知识图谱方面表现出良好的性能。但是它不能有效地捕获复杂的关系,如一对多和多对多。
TransH

TransH根据关系为每个实体提供不同的表示向量。TransH的工作原理是为每个关系发布一个完全独立的特定于关系的超平面,这样与它关联的实体仅在该关系的上下文中具有不同的语义。TransH将实体嵌入向量h和t投影到映射向量Wᵣ方向的超平面(关系特定)。

其中Dᵣ表示关系特定的平移向量,h和t的计算方法如下:

TransH 在一定程度上解决了复杂关系问题。它采用相同的向量特征空间。
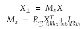
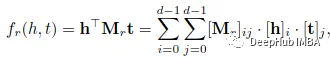
TransR

TransR的理念与TransH非常相似。但它引入了特定于关系的空间,而不是超平面。实体表示为实体空间Rᵈ中的向量,每个关系都与特定空间Rᵏ相关联,并建模为该空间中的平移向量。给定一个事实,TransR首先将实体表示h和t投影到关系r特定的空间中:

这里Mᵣ是一个从实体空间到r的关系空间的投影矩阵,评分函数定义为

它能够对复杂的关系建模。但是每个关系需要O(dk)个参数。没有TransE/TransH的简单性和效率。
TransD
TransD是TransR的改进。它采用映射矩阵,为头部和尾部实体生成两个独立的映射矩阵。它使用两个嵌入向量来表示每个实体和关系。第一个嵌入向量表示实体和关系的语义,第二个嵌入向量生成两个动态投影矩阵,如下图所示。

评分函数如下:

下表是总结所有翻译距离模型的对比

RESCAL
RESCAL将每个实体与一个向量相关联,捕获其潜在语义。每个关系都表示为一个矩阵,它模拟了潜在因素之间的成对相互作用。事实(h,r,t)的分数由双线性函数定义。

其中h,t∈Rᵈ是实体的向量表示,Mᵣ∈Rᵈ*ᵈ是与该关系相关的矩阵。这个分数捕获了h和t的所有分量之间的成对相互作用,每个关系需要O(d²)个参数,并进一步假设所有 Mᵣ 在一组通用的 rank-1 指标上分解。

它最大的问题是计算复杂且成本高。
TATEC
TATEC模型不仅有三种相互关系,它还包含双向交互,例如实体和关系之间的交互。评分函数为

其中D是所有不同关系共享的对角矩阵。
DistMult
通过将Mᵣ限制为对角矩阵,DistMult简化了RESCAL。对于每个关系r,引入一个向量r∈rᵈ,并要求Mᵣ= diag(r),评分函数如下:


DistMult优点就是计算简单,成本低。但是因为模型过于简化,只能处理对称关系。对于一般kg来说,它不够强大。
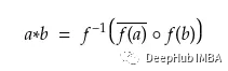
Holographic Embeddings(HolE)
HolE结合了RESCAL的表达能力和DistMult的效率和简单性。它将实体和关系重新表示为Rᵈ中的向量。给定一个事实(h,r,t),通过使用循环相关操作,首先将实体表示组合成h*t∈rᵈ:

采用*的主要目的是利用压缩张量积形式的复合表示的降低复杂性。HolE利用了快速傅里叶变换,可以通过以下方式进一步加速计算过程:


HolE每个关系只需要O(d)个参数,这比RESCAL更有效。但是HolE不能对不对的称关系建模,但在一些研究论文中,把它与扩展形式HolEX混淆了,HolEX能够处理不对称关系。
Complex Embeddings (ComplEx)
Complex通过引入复值嵌入来扩展DistMult,以便更好地建模非对称关系。在ComplEx中,实体和关系嵌入h,r,t不再位于实空间中,而是位于复空间中,例如Cᵈ。

这个评分函数不再对称,来自非对称关系的事实可以根据所涉及实体的顺序获得不同的分数。作为共轭对称施加于嵌入的特殊情况,HolE可以被包含在ComplEx中。
ANALOGY
ANALOGY 扩展了RESCAL,可以进一步对实体和关系的类推属性建模。它采用了双线性评分函数。

DistMult, HolE和ComplEx都可以作为特殊情况在ANALOGY上实现。
以下是语义匹配模型的对比总结:

对于深度学习进步,还出现了基于深度学习的评分函数
ConvE
ConvE是第一个使用卷积神经网络(CNN)来预测知识图谱中缺失环节的模型之一。与完全连接的密集层不同,cnn可以通过使用很少的参数学习来帮助捕获复杂的非线性关系。ConvE在多个维度上实现了不同实体之间的本地连接。

concat为连接运算符,*表示卷积,eₛ和eᵣ分别负责主题单元和关系单元的二维重塑。
ConvE不能捕获三元嵌入的全局关系
ConvKB
ConbKB使用1D卷积来保留TransE的解释属性,捕获实体之间的全局关系和时间属性。该方法将每个三元网络嵌入为三段网络,并将其馈送到卷积层,实现事实的维类之间的全局连接。

其中Ω(过滤器集),e(权重向量)表示共享参数。
HypER
HypER将每个关系的向量嵌入通过密集层投影后完全重塑,然后调整每层中的一堆卷积通道权重向量关系,这样可以有更高的表达范围和更少的参数。

vec是将一个向量重新塑造为一个矩阵,非线性f是ReLU。
