时间:2023-07-24 17:03
人气:
作者:admin
一、前言
现代电子战对频谱资源利用越来越多,致使系统复杂性越来越高、电磁干扰愈来愈严重,因此部分学者提出了雷达通信一体化系统,旨在高效的使用频谱资源,降低设备复杂度。雷达通信一体化信号的优化设计是其重点研究方向,本文主要研究典型一体化信号OFDM-MSK-LFM。雷达通信一体化技术是雷达信号与通信信号复合而成的,设计的基本要求是要考虑雷达与通信性能的均衡,因此无论是雷达信号还是通信信号,均需要合理的选择,本文考虑频谱利用率选择OFDM信号,考虑雷达传输的恒包络要求,选择MSK调制技术与LFM雷达信号。
二、OFDM-MSK-LFM一体化信号模型
2.1 MSK调制原理
由于在前述两篇文章OFDM-16QAM-LFM与OFDM-BPSK-LFM中已经介绍了OFDM-LFM系列一体化信号模型,在此我们就不过多赘述,需要了解的同学可以查看对应的文章,也可以参考文末参考文献。
MSK信号具有恒定的信息包络且每两个码元之间相位不会跳变,占用带宽也较小,将其与OFDM-LFM信号相结合可得到一体化信号。
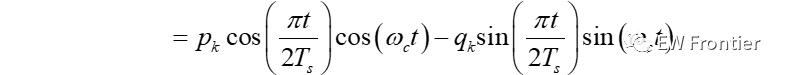
MSK 信号的第k 个码元可以表示为

式中:ak为第k个输入码元,取值为±1; φk为第个码元的相位常数,在时间kTs<t≤(k+1)Ts内保持不变,其作用是在t=kTs处保持相位连续。



MSK调制原理如下图所示,基带码元先差分编码,然后经过串并转换分成I、Q两路,再与对应的载波相乘,然后再相加完成MSK的调制。
图1 MSK调制信号生成过程
2.2OFDM-MSK-LFM一体化信号
结合OFDM-LFM 技术得到一体化波形公式推导为

三、仿真分析
参数设置:OFDM:采样率100Mhz,载波数2;LFM:带宽40Mhz,脉宽12us,载频10Mhz;MSK:载频4Khz。
3.1 MSK调制
根据图2和图3不难看出,MSK信号具有良好的恒包络性,这一特性能够使其在雷达探测过程中保持良好感知能力,同时不会影响模糊函数,与此同时MSK加入了调制数据,进一步实现通信与感知的并存。观察图3,可以发现MSK信号的频谱主要集中与两个频率,具有较高的频带利用率,这也满足雷达通信一体化的基本要求。基于上述条件,可以发现MSK调制是一种适合用于雷达通信一体化技术的调制方式。

图2 MSK信号时域波形

图3 MSK信号频谱
3.2 OFDM-MSK-LFM模糊函数
图4-图6分别是OFDMMSK-LFM的模糊函数三维视图、速度切片与距离切片,看过之前OFDM-16QAM-LFM与OFDM-BPSK-LFM两篇文章的同学应该能够发现MSK调制令一体化信号的模糊函数更趋于图钉形状,具有较低的旁瓣,因此其雷达探测能力得到很好的保证,而OFDM-MSK-LFM信号的通信误码率取决于MSK调制,在文末参考文献中有相应的介绍,其通信可靠性较高。

图4 OFDM-MSK-LFM模糊函数三维图

图5 OFDM-MSK-LFM零多普勒

图5 OFDM-MSK-LFM零时延
四、总结
雷达通信一体化技术需要良好的通信信号、雷达信号以及调制方式,这三者共同决定了一体化信号的雷达探测性能与通信性能,因此本文将OFDM、LFM与MSK三种技术相结合,主要利用了OFDM的频谱利用率、信息传输速率,LFM的良好探测性能,MSK携带调制信息能够保证恒包络性,不影响雷达探测。
其实雷达通信一体化信号设计最简单的就是这类组合优化设计,希望本文对相关研究的同学能有帮助。
审核编辑:刘清