时间:2023-07-17 09:27
人气:
作者:admin
电压驻波比是射频系统中一个常常会遇到的指标参数,是指驻波波腹电压与波节电压幅度之比,又称为驻波系数、驻波比。
为了弄清楚这个概念,首先我们来聊一下什么是驻波。
驻波是指频率和振幅均相同、振动方向一致、传播方向相反的两列行波叠加后形成的波为驻波,若振幅不相同,则形成行驻波。
在行波中能量随波的传播而不断向前传递,其平均能流密度不为零;但驻波的平均能流密度等于零,能量只能在波节与波腹间来回运行。
在两者电压(或电流)相加的点出现波腹,在两者电压(或电流)相减的点形成波节。
在波形上,波节和波腹的位置始终是不变的,给人“驻立不动”的印象,但它的瞬时值是随时间而改变的。如果这两种波的幅值相等,则波节的幅值为零。
如下图所示:绿线和蓝线分别代表两个振幅相同,频率相同,传播方向相反的两个波,红线代表两个行波叠加的状态。观察红线的波形可以看到,能量只在波节和波腹之间来回震荡。
在电磁波的传播过程中,当传输线的阻抗发生变化时,就会有一部分电磁波反射回来。
反射波和入射波叠加,就形成驻波。我们在学习长线效应时学习到传输线的电压和电流满足以下公式:

式中第一项代表入射波电压或者电流,第二项代表反射波电压或者电流。
如下图所示,假设蓝色曲线代表入射波,红色曲线代表反射波,那么黑色曲线就是入射波和反射波叠加的驻波。
当全反射时,反射波振幅等于入射波振幅,那么形成的驻波,波腹为入射波振幅的两倍,波节为0,驻波比为无穷大。
当完全匹配时,波腹和波节相等,驻波比为1.实际射频电路设计中,完全匹配状态时不可能存在的。
由于传输线上同时存在入射波和反射波,那么在传输线上任意观察点上的电压和电流都是入射波和反射波叠加的结果。
由于反射波振幅一般情况下小于入射波振幅,那么传输线上反射波和入射波叠加的结果时形成行驻波。
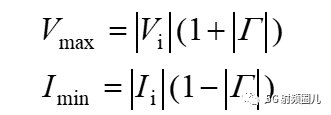
当反射系数为正实数时,反射波电压和入射波电压相位相同,合成行驻波电压的振幅最大,形成电压波腹;而在该位置反射波电流和入射波电流相位相反(相差180°),合成行驻波的电流振幅最小,形成电流波节。该位置的波腹电压和波节电流分别为:

当反射系数为负实数时,反射波电压和入射波电压相位相反,合成波电压振幅最小,形成电压波节,而该点的反射波电流和入射波电流相位相同,合成波电流振幅最大,形成电流波腹。该位置的波节电压和波腹电流分别为:
而在其他位置上,合成波电压,电流的振幅分别介于各自波腹点和波节点之间。
根据上文电压驻波比的定义,即电压波腹点和波节点的比值,我们能够得到电压驻波比的公式:
驻波比是表示传输线上驻波成分大小的一个参数,当完全匹配时,没有反射波,驻波比为1,当全反射时,驻波比为无穷大。
我们通过上文的介绍得到了驻波比与反射系数之间的关系。工程中常用的回波损耗RL是反射系数的dB形式。我们可以得到电压驻波比VSWR,反射系数
和回波损耗RL之间的关系。 
这个表格也是很常用的,一样就能看到所对应的值。
在射频电路设计中,这三个参数表示的都是传输线的匹配状况,即入射波和反射波之间的关系。看图也更能理解dB的作用。
审核编辑:刘清