时间:2022-04-18 11:11
人气:
作者:admin
Hello~各位工程师小伙伴们!
今天小编来给各位分享几个全志系列的开源项目!我们话不多说,直接上干货!
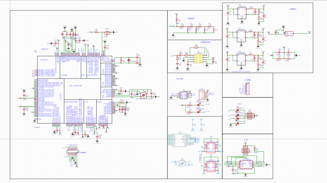
开源项目1:小白开源V3S miniPC小电脑

作者:MajorTom
芯片:全志V3S
项目简介:
1、板载USB_hub,摄像头网卡均使用外置,所以足够的USB接口十分重要。
2、使用TFT_LCD显示屏幕,屏幕驱动芯片为ST7789.
3、使用TC8002D功放芯片驱动喇叭(未实现,原因未知,仍在排查)
4、串口部分使用CH340N,引脚较少,节省体积。
5、电源部分3.3,1.8,1.2使用sy8088aac DC-DC芯片,供电量比较给力,不发热。
6、增加用户LED与串口指示灯。
7、ADC按键。8、使用四层PCB。
✦
✦
开源项目2:开源全志V3S 支持OV7725摄像头

作者:GloomyGhost
芯片:全志V3S
项目简介:
今天为各位工程师朋友分享一个全志V3S两层PCB板的开源项目。用了主线5.10内核适配了OV7725和ov2640摄像头。
Ov2640需要把0X3C寄存器的值调整为0XEF,OV7725需要把时钟信号改为xclk。
✦
✦
开源项目3:全志v3s板开源分享

作者:Kevincoooool
芯片:全志V3S
项目简介:
作者开源的项目可以支持屏幕触摸、MP3&MP4播放、WIFI连接、照相、录音等功能。各位感兴趣的大神们可以在这个基础上优化算法增加更多丰富的功能。
✦
✦
开源项目4:YuzukiRuler 随身Linux小尺子

作者:fyp
芯片:全志F1C200S
项目简介:
YuzukiRuler 随身Linux小尺子,板载UART和OTG,还有一个1.14小屏幕,支持2.4G Wi-Fi网上冲浪。
✦
✦
开源项目5:D1-H核心板开源项目分享

作者:树莓学LINUX
芯片:全志D1-H芯片
项目简介:
作者分享了一个全志D1-H核心板的开源项目,各位感兴趣的工程师们可以下载看一下哦~