时间:2023-06-18 09:36
人气:
作者:admin
将运放的输入端接地,用示波器测量输出,会出现在一定幅度内变化的杂乱无章的波形,这就是噪声。不同的运放噪声大小也不同,通常在nV~mV之间。在一些精密信号调理电路中,太大的噪声会影响采样准确度。比如在ADC采集信号时,如果运放输出噪声幅度大于1LSB,那么ADC的分辨率再高也无济于事了。
为了准确评估运放和ADC的选型是否满足设计需求,我们需要对噪声参数做详细了解,并学会定量计算噪声大小。
文末获取噪声计算工具。文章较长,建议收藏。
01 噪声电压-电流密度
噪声是由广谱的、随机发生的一系列信号叠加而成,其连续分布在各个频率上。那我们怎么衡量噪声大小呢?
假设频率分别为f1和f2的两信号叠加,有效值分别为u1和u2,那么合成信号的有效值为:(功率等效,切勿将电压直接相加)

如果更多频率信号叠加,计算方法如上,所以噪声有效值等于各频率分量平方和开根号,当△f足够小时,我们可以写出有效值和频率的关系如下:

因此,在datasheet中,厂家通常会以噪声电压/电流的频谱密度形式给出,如下图所示:


02 噪声带宽
由于器件特性和电路分布参数的影响,任何电路都存在低通特性,即高于某一个频率的信号会被大幅衰减,因此,对于噪声的讨论,也是在一定的带宽范围内才有意义。
噪声带宽BWn由运放电路带宽Fh决定,和滤波器的阶数有关,如下图所示,滤波器的阶数越高,噪声带宽越接近运放电路带宽。

03 运放噪声有效值
运放的噪声分为闪烁噪声和宽带噪声造成(也分别被称为1/f噪声和热噪声),前者的谱密度是频率的倒数逐渐降低,后者的噪声密度恒定。(可以参考上述的噪声谱密度曲线图) 本文以opa211运放为例,带大家实际计算一遍,搭建一个如下所示的同相比例放大电路:

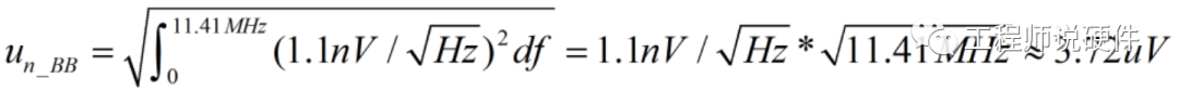
A、查阅OPA211 datasheet,电压宽带噪声密度为1.1nV/√Hz,增益带宽积是80MHz,则上述运放电路的带宽为7.27Mhz,则噪声带宽BWn=7.27M*1.57=11.41MHz。 B、计算宽带噪声电压有效值如下:

C、同理,计算得到宽带电流噪声为:

D、计算闪烁噪声电压有效值,对闪烁噪声部分的面积做积分,其实频率规定为0.1Hz,截止频率为噪声带宽BWn。
先求解频率1Hz时候的噪声密度efnorm,直接从曲线读取,或者从其他频率点换算得到:

计算电压闪烁噪声如下:

E、电流的闪烁噪声可以参考电压计算,但是值很小,通常可以忽略不计。
04电阻热噪声
电阻的热噪声是由于导体内部电子热运动引起的一种白噪声,其计算公式如下:

K是玻尔兹曼常数,T为绝对温度,R为电阻值,BWn为噪声带宽,我们计算常温27°C下的电阻热噪声如下:

05 运放电路噪声模型和输出噪声计算
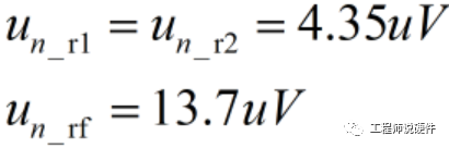
运放电路总噪声由电压噪声、电流噪声和电阻噪声共同组成,如下所示:

其中电流噪声在R2和R1//Rf产生等效电压噪声un_i,需要注意的是,输入噪声经过运放后将被放大,因此输出噪声计算如下:

根据概率统计,99.9%以内的噪声都在有效值的6.6倍以内,因此认为输出噪声的峰峰值为有效值的6.6倍。
06噪声计算软件 上述的噪声计算过程还是很复杂的,我们主要了解其原理就行,工程实践中,我们直接使用计算工具即可。下面给大家介绍TI资深模拟工程师Bruce Trump开发的“FlickerNoise v1”,一款基于EXCEL的噪声计算程序。 第一页主要计算闪烁噪声,根据datasheet的数值和带宽,会自动计算出闪烁噪声。

第二页主要计算运放电路的输出总噪声,根据提示输入电阻、温度、噪声密度等参数即可。需要注意的是最终得到的值仍是噪声密度,单位为V/√Hz,因此需要乘以噪声带宽的根号,才得到输出噪声电压。我们计算得到为78.16uV,和我们手动计算的值基本一致了。

07)多级放大电路噪声计算
针对多级放大电路的噪声计算,可以将电路拆分成一个个独立的单元,前一级运放的输出噪声,作为后一级运放的输入噪声的一部分。需要注意的是,在计算本级运放的噪声带宽时,需要以后续所有单元中带宽最小的,作为其等效带宽。
因此,在一些多级联的信号调理电路中,通常将滤波电路置后,目的就是为了降低整个链路的等效带宽,从而降低总的输出噪声。

08)降低输出噪声的方法
对于信号或者电源干扰,这里就不赘述了,大家做好滤波和隔离基本就能避免,那如何降低运放电路本身的噪声呢?结合运放噪声的计算过程:
第一,尽量降低设计带宽,这对于宽带白噪声的贡献是巨大的;
第二,外部电阻尽量较小,降低电阻热噪声的影响(需要注意不能太小,通常百欧~几K为佳);
第三,选择噪声密度较小的运放,可以从TI等官网的精密运算放大器栏目中挑选;
第四,多级信号放大时,尽量使第一级增益较高,且使用噪声较低的运放,这是根本原则;
第五,滤波器通常置后,以降低所有单元的等效带宽。
以上就是本期分享的所有内容啦,放大器很难,但也很有趣,小编在大学期间和放大器打交道比较多,工作之后就很少碰到放大器相关应用了,但一直保留着对放大器的热爱,也希望各位同学能在这里有所学习。
审核编辑:刘清
上一篇:增强开源应用程序中的处理器性能