时间:2023-06-19 16:42
人气:
作者:admin
FIGURE 6.5讲了3种不同的Lumped RC modeling,书中说明了这三种RC modeling的优劣势。

接下来直接跳到6.3.3 Crosstalk。
FIGURE 6.16 模拟了两条线,A和B。
当金属走线A在经历状态变化的时候,B会因为Cadj的coupling受到影响。
如果B和A同时发生改变,(取决于他们发生改变是同向还是反向),他们对彼此信号的变换的delay影响是不一样的。
如果A在跳变的时候,B保持不变,那么A的跳变会对B带来影响。这个crosstalk的大小取决于Cadj/Ctotal的比值。
假设说,这两条相邻的走线一起route的距离很短,而他们彼此的Cload很大,那么Cadj/(Cadj+Cload) 会非常小,换言之,短距离走线的金属线之间的coupling可以忽略不计。
反之,如果是长距离走线,那么Cadj/(Cadj+Cload)比值变大,带来的crosstalk noise也会增大。

6.3.3.1 Crosstalk Delay Effects
上面讲过,A和B的跳变方向是否相同,决定了跳变过程中电荷的总量变化和这次跳变引起的延迟大小。
Table 6.3 summarizes this effect.

Coupling电容上的电荷取决于它本身电容值的大小Cadj,以及电容两边的电压差。
假设说A在跳变,但是B没有(保持它自己的constant value)。从A点看到的有效电容包含了Cgnd+Cadj
如果A和B同时跳变,并且往相同的方向,coupling cap两端的电压差为0,这个时候Cadj可以忽略不计。
如果A和B同时跳变,但是两者往不同的方向,比如A是从LOW跳变为HIGH,B是从HIGH 跳变为LOW。那么Cadj两端的电压差为2VDD,有效电荷变化是Cgnd+2xCadj。
4.4.6.6这次就不讲了,这里用MCF值去表示:Cadj对有效有效电容的贡献。然后他说了,一般在layout没有fix之前,使用的典型MCF值是1.5。
真好,书里还有Example,这样我们就可以想象这些电容值是什么量级。
Example 6.8
SOLUTION :We find Cgnd =(0.08 fF/um)(1000 um) =80 fF and Cadj
=120 fF. The delay is RCeff.
重点来了 ---
6.3.3.2 Crosstalk Noise Effects
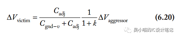
就是A跳变的时候,B是常值。给B带来的影响是B也会 部分跳变 。定义A是Aggressor, B是Victim。一个施害者,一个被害者。

△Vaggressor is normally VDD.
那么△Vvictim是多少?

这里可以看到Victim Wire上的电压跳变值取决于Cadj的大小。
这里假设Victim是被driven的情况下,为了应对Agressor的coupling,Victim的Driver会去对抗这个noise。
我们可以把Aggressor和Victim的Driver output resistance表示为Raggressor和Rvictim.

这种情况下,Aggressor跳变瞬间带来的Peak noise的计算如6.20公式所示。

小k等于什么呢?

啥意思呢?
分两个极限条件来理解 -
1.当Rvictim无穷大,也是Victim wire的驱动能力无限小的时候:k ~ 0,△Vvictim = (Cadj/Cadj+Cgnd) x △Vaggressor,此时由于coupling 带来的peak noise最大。
2.当Rvictim无限小,也是Victim wire的驱动力无限大的时候:k ~ ∞,1/(1+k) 无限小,此时由于coupling 带来的peak noise最小。
下面这个图最容易理解了 -

举例的是几个不同的Victim的driver size
and Cadj = Cgnd.
Coupling cap与Grounded cap取值一样
当Victim是floating的时候,由于Aggressor带来的Peak noise影响将永远持续下去。。
当Victim有人去drive,本身的driver会帮助victim restore from peak noise
Victim的Driver 尺寸越大,驱动越强,那么能对抗Coupling的能力越强 - Double Size Driver case
在peak noise时刻,Victim tr.工作在线性区,而Aggressor工作在饱和区。
也就是说,当我们说Victim和Aggressor使用相同尺寸Driver的时候,因为他们工作区域的不同,Raggressor(饱和区)会是Rvictim(线性区)的2~4倍。
最后一部分的意思是:这个公式的计算很保守,最后还是得靠仿真去验证准确的coupling noise大小。
当小k的值<1的时候,极其需要考虑Coupling noise。