时间:2023-06-13 16:10
人气:
作者:admin
Test Card
这个量纲在射频领域很少见,但如果您的工作涉及LDO、Op Amp等模拟电子电路,应该对其并不陌生,它是一个用于描述这类电子电路噪声性能的量纲。nV/√Hz,到底有着什么样的含义呢?
万变不离其宗
如果仔细观察,nV/√Hz似乎与射频领域的功率谱密度有一定的关联,为什么这么讲呢?
如果对该量纲进行平方处理,可以得到(nV)^2^/Hz,如果再除以阻抗,不就变成了W/Hz了吗?而这恰恰就是功率谱密度的量纲。
除了用于描述LDO和Op Amp的噪声性能外,nV/√Hz有时还会出现在采集卡/示波器及其探头的规格书中,表示单位Hz内产生的噪声电压值(rms),通常给出的是图1所示的噪声电压谱密度,反映了不同频率处的噪声电压大小。

图1. 典型的噪声电压谱密度
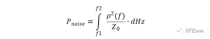
如何计算一定带宽内的电压有效值呢?
还是要从功率的角度分析,假设在[f1, f2]频率范围内的噪声电压谱密度为ρ(f),系统阻抗为Z0,则在该频率范围内的总噪声功率为

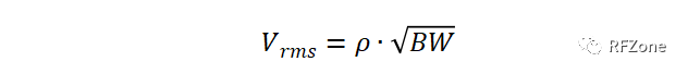
该功率与[f1, f2]频率范围内的等效噪声电压值Vrms存在如下关系

如果噪声电压为一个常数,则

式中,BW = f2 - f1。
以上两个关于Vrms的公式,架起了噪声电压谱密度与带宽内等效电压的桥梁。很多示波器的规格书给出了一定通道带宽对应的基线噪声参数,这与上面计算出的Vrms是相通的。
下面介绍一个关于PSRR测试的应用场景,使用噪声电压谱密度可以帮助评估系统的动态范围是否满足要求。
对于LDO的PSRR测试,目前业界的方案通常采用AFG+Scope构建测试系统。有个问题不得不考虑,整个测试系统的动态范围是否满足PSRR的测试要求,诸如高达60dB甚至更高的PSRR测试,还能不能测准?
要解答这个问题,就要考虑Scope本身的噪声性能。
实际测试时,为了避免对LDO的工作状态造成明显的影响,所施加的AC信号幅度往往较小,比如有效值为10mV甚至更低,经过60dB的衰减后将变为0.01mV,限于示波器的最小垂直灵敏度,很明显使用示波器几乎无法测准这么小的AC信号波形,而是应该经过FFT转换到频域进行测试,因为在频域可以很容易观测这么小的信号,必要时还可以降低RBW获得更低的本底噪声,以提高测试灵敏度。
有的示波器规格书直接给出了噪声电压谱密度,有的示波器给出的是一定带宽对应的噪声电压,可以假设通带内的噪声电压是平坦的,对带宽进行归一化,从而估算出噪声电压谱密度。得到噪声电压谱密度后,还需要计算出一定RBW范围内的总噪声电压才更有意义。
比如图1所示的噪声电压谱密度曲线,100kHz频率处的电压谱密度为9nV/√Hz,RBW=1kHz对应的噪声电压为

AC经过DUT抑制后进入示波器的幅度为0.01mV,远高于1kHz RBW时的底噪,因此系统的动态范围是足够完成PSRR测试的。
值得一提的是,计算一定带宽的噪声电压时应该采用噪声带宽,而不是RBW,二者并不相同,不同的滤波器类型对应不同的转换系数,此处为了计算简便,于是直接使用RBW进行了计算。
下一篇:用C语言编写并行端口2线软件