时间:2023-06-16 15:22
人气:
作者:admin
熟悉CST仿真TDR的用户对这个公式一定不陌生,帮助文档里面介绍过这个上升沿和带宽的关系;简单说就是TDR想要看的精细一些就需要更宽的频带。

那么0.876怎么来的呢?这个问题还是有不少朋友非要问,那就简单粗暴推导一下。
首先,这个10-90%的上升沿是对高斯时域信号的积分后的阶梯信号上升沿范围。上图有标识。
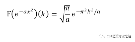
回忆高斯函数积分:

再回忆高斯函数傅里叶变换:

因为CST的Fmax包含90%的高斯频谱,所以如果这里我们让
0.1=e^(-pi^2*Fmax^2/a)
就得到
Fmax=2.3026*a/pi^2=0.4830*sqr(a)
是参数a的表达式;
然后我们用T10和T90表示上升沿起始和终止时刻,也就是Trise=T90-T10。
我们让0.8=erf(sqr(a)*T90)
得到 T90=0.9062/sqr(a);
让-0.8=erf(sqr(a)*T10)
得到T10= -0.9062/sqr(a);
也就是用参数a也表达了Trise,所以整理得到Fmax=0.876/Trise。
小结:
1)TDR想要看的精细一些就需要更宽的频带,这个最简单的原理还是很多用户不知道。。。
2)0.876公式用就行了,别推了怪累的~