时间:2023-06-11 16:22
人气:
作者:admin
这一期接着聊连续时间的傅里叶分析,主要内容如下。
1、大牛傅里叶的简介;
2、傅里叶级数到傅里叶变换的转换过程;
3、周期信号的傅里叶变换表示;
4、卷积和乘法在时域及频域的对偶关系。
上一期,我们讲到了连续时间周期信号的傅里叶级数展开。傅里叶的名字可谓声名远播,是个不得不聊的人物。
约瑟夫·傅里叶(1768-1830),法国数学家,物理学家。一生富有传奇色彩。儿时沦为孤儿,长大后,扛过枪,当过地方行政长官,出将入相。又那么热爱学习。在研究热传导问题时,于1811年,通过论文《热的传播》提出了任一函数可以展开成三角函数的无穷级数,也就是上一期中关于傅里叶级数的内容,积分变换基础。
1822年,出版专著《热的解析理论》将三角函数级数的理论一般化。将周期信号推广到更一般的信号,更系统地总结归纳为傅里叶分析。
根据时域信号的表现的不同特点(连续或离 散 ,周期或 非周期 ),傅里叶分析有不同的类型,不同的叫法以示区别,如图1所示。这里也看到了时域和频率的对偶性(Duality)。这期还是先讨论连续时间类型,对于离散情况,后续会专门总结。

图1
傅里叶变换可以认为是对傅里叶级数结论的一般化推广过程,这里先给出两个动图说明这个趋近过程。其中图2是上一篇(积分变换基础中讲到的定义在区间[-1,1]的三角波,周期T=2。随着周期T增加,并趋近于+∞,信号就等效为单周期的三角波(其他定义域的值都为零)。

图2
当周期T增加时,其傅里叶级数ak和周期T乘积的变化过程如图3中蓝色的离散幅值,红色为akT的包络线。至于为什么是akT的乘积,我们先留个疑问。

图3
图2和3可以看到,当周期T增加时,时域信号越来越稀疏,而其傅里叶级数的频谱却越来越密集。直觉相信,在极限情况下,其终极形态就是 红色的包络线函数 。
下边试着从极限的角度,理清如何将周期信号傅里叶级数转化为非周期信号的 傅里叶变换 。

图4
图4重新给出了周期为T的周期信号图4(a)和其极限情况,仅定义在-T/2和T/2区间的非周期信号图4(b)。
图4(a)周期信号的傅里叶级数系数如图5。通过变形,注意和定义函数 X(jω) 的关系。 X(jω) 就是akT的包络线函数。

图5
我们再看看图4(a)周期信号的傅里叶级数表示。利用图5的包络线函数 X(jω) 定义,可以看到图6中的阶梯型面积之和。极限情况下,等于被积函数 X(jω)e^(j ωt ) 和ω轴形成面积。

图6
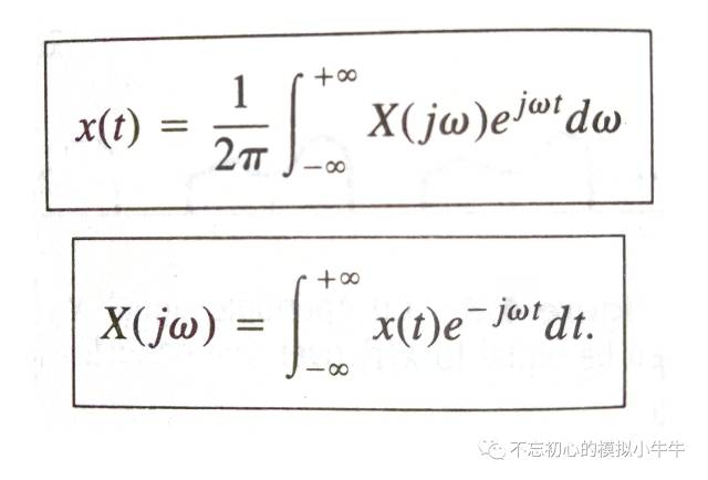
把傅里叶变换对重写如图7所示。时域信号x(t)的表示从周期信号的 线性累加 ,变成非周期信号的积分表示形式。注意其傅里叶变换实际上是 复变函数 ,自变量为jω,仅仅位于复平面的虚轴上。函数值也为复数形式,同时包含了幅度和相位的信息复合形式。

图7
注意傅里叶变换 X(jω) 的积分结果收敛存在,同样需要满足狄利克雷条件。
针对时域一般信号,通过傅里叶变换对,将信号从时域和频域紧密的联系在一起,建立了人们认识问题的新角度。从频域分析去解释问题也能够很好的符合人们实验观测的结果。使傅里叶变换在现代众多技术领域中得到广泛应用。
我们希望能够将傅里叶变换推广到更宽的适用范围。就必须解释和回答第三个问题,周期信号如何用傅里叶变换来表示?
如图8所示,首先考虑频域中位于频率点( kω0 )处的单位冲激函数。单位冲激函数(出于傅里叶级数的频谱是离散频率点的若干值,所以考虑频域的单位冲激函数)的傅里叶反变换对应的时域信号应该是什么样的。

图8
图8中可给出了周期信号的傅里叶变化表示,是在k次谐波位置,为ak乘2π的离散频谱形式。(注意2πak****也是包含了幅度和相位的符合信息,也就是说是复数形式)
从时域和频域不同角度分析,就像观察硬币的正反面。虽然观测角度不同,事物本质上是一致的。就像历史上人们对电磁波的认识过程,到底是“波”还是“粒子”,是人们对电磁波“波粒二象性”不同角度的观测结果。

图9
就像我们对声音的理解一样,物体的振动产生声音。不同的乐器,根据同样的乐谱,都能演奏出近乎一样的乐曲(音色有各自的特色)。实际感受到的是悦耳动听的音乐(时域)。乐谱就算是从频域记录音乐的方式。
傅里叶变换中两个重要到不能再重要的关系,值得我们重点回顾一下,卷积和 乘法 。两者之间的相互转换的近似性关系称之为 对偶性(Duality) 。

图10
我们知道,时域卷积是信号与系统的基础概念,时域中,需要通过卷积运算计算系统响应。相信很多人,都知道卷积这概念,要真是让大家通过卷积来推导一下时域中系统响应。估计还是要挠挠头皮的。相反,时域的卷积运算映射到频域,仿佛一下子就降级到了只需要小学生的运算能力了,即乘法。从而大幅度降低运算复杂性,也符合我们一贯懒惰的本性。
转换为频域乘法,一个简单概念为滤波器。从频域角度描,对不同频率分量的幅度和相位进行需要的衰减和增强等操作。
另一个就是时域的乘法,映射到频域为卷积运算,貌似变复杂了。
其实在通信领域,时域乘法具有重要的意义。为了提高通信过程中传递信息的效率和距离。通常会将有用信息调制(Mixer乘法器)到高频率的载波上,便于信息的传递。接收端接收后,又需要把有用信息摘出。(原谅我这非专业人士的蹩脚描述)。其频域解释就是频谱搬移,将有用信号从低频搬移到高频载波上。
如图11,在高中的三角函数的学习过程中。比如说“积化和差”,如果把角度换做角频率。我们仔细再思考一下,肯定会会心一笑。这就是最基础的模拟调制方式,调幅(amplitude modulation)。

图11
再举一个例子,在后续回顾离散傅里叶变换(DTFT)时,也会看到为避免时域信号周期延拓后出现频谱泄露,需要对时域采样加 "窗函数" 。这也是一个在时域做乘积的例子,到时候,我们再仔细思考。
关于傅里叶变换的各种性质这里就不详细介绍了,大家还是翻翻书,多记多用才行。