时间:2023-06-12 17:27
人气:
作者:admin
时延特性是器件的重要指标之一,时延特性的精确测量一直是测量领域的热点和难点问题。本文首先提出了一种不同于以往文献的分类方法,将现有的时延测量方法分为时域测量方法和频率域测量方法,并围绕两类方法的特点进行了相关的讨论。
01
时域法测量器件的电长度,矢量网络分析仪仍然进行频率扫描测量,并将频率扫描测量进行傅立叶逆变换,从而得到时间响应测量结果。

以上示例为一端开路的电缆线的频率域与时间域测量显示。频率域显示为幅度参数,其中曲线的波动是由多次反射造成的,这一点可以在右边的时域显示中清楚地看到,

ω=2πf,其中S(ω)为矢量网络分析仪频率域测量参数。根据S参数的定义,S=b/a,在归一化校准情况下,我们可以认为a=1,即激励信号为1。那么在傅立叶逆变换中激励信号为一δ(t)冲击信号。如果被测器件的频率响应带宽也为无限宽,那么我们可以准确地定位器件的时间域响应位置(时间)。但是,由于矢量网络分析仪的测量频率范围是有限的,同时被测器件的频率响应带宽也是有限的,那么上面的变换格式将为,

其中f1和f2分别是矢量网络分析仪测量频率扫描起始频率和终止频率,这样δ(t)信号将变为sin(t)/t函数,其3dB时间宽度为1/(f2-f1)。这也就是我们在上图中右边看到的两个有一定时间宽度的脉冲信号响应。
因此,使用时域法测量器件的电长度的分辨率为1/(f2-f1),例如,矢量网络分析仪频率扫描宽度为3GHz,那么可以知道时域法测量的分辨率为1/(3×10^9^)秒,约为300ps,当频率扫描宽度为40GHz,时域法测量的分辨率为1/(40×10^9^)秒,约为25ps。那么,我们可以测量出两个电长度相差为300×0.3=90mm或25×0.3=7.5mm的器件。
而测量误差不止与频率域测量的幅度和相位误差相关,并且与各频率点的频率域测量的幅度和相位误差的变化以及变化的速率相关。简单说,即确定时域响应曲线峰值位置误差与频率域测量的幅度和相位误差相关,应认为在其分辨率范围内的任何读数皆有可能。
02
频率域器件电长度测量方法
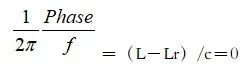
基于器件的S参数的相位,如果一个电长度为L的器件插入到一个归一化校准的矢量网络分析仪测量回路中,那么器件所引入的回路相位变化为Phase=2πL/λ,其中λ为所在测量频率信号的波长λ=c/f,c为光速,f为频率。
如果,我们采用度而非弧度为单位,长度单位为mm,频率单位为GHz,那么将上式变化为L=Phase×300/(360×f)=(1/1.2)×Phase/f。例如,测量频率为3GHz,矢量网络分析仪的相位分辨率为0.01度,那么测量电长度的分辨率为2.77×10^-3^mm,测量频率为40GHz,相位分辨率为0.01度,那么测量电长度的分辨率为2.08×10^-4^mm。
测量频率域相位变化来计算器件电长度的方法理论上可以用测量点频相位变化得到,但是实际操作时会由于矢量网络分析仪的相位显示范围为-180~+180度,例如测量显示为45度,其可能的相位值为360×n+45度,n为整数,我们需要找出n值,或者进行一个补偿。补偿方法之一为多频率点测量,根据Phase=2πL/λ,λ=c/f,Phase=(2π)×(L/c)×f,那么,

t为器件的电长度的造成的时间延迟。如果我们假设在L与f无关,那么我们可以在上面的方程中加入一个常数Lr,使

那么L就可以直接由Lr读出,Lr在矢量网络分析仪中可以由参考面设定来改变,我们可以通过变化Lr设定直到得到在所有频率点上Phase都为0,来确定L。测量误差分析,矢量网络分析仪的相位测量误差一般情况下小于1度,那么电长度测量误差由L=(1/1.2)×Phase/f得到,例如f=3GHz,Phase为2度(+/-1度),长度误差为5.53×10^-1^mm。
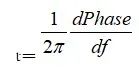
由上面的

得到,如果L与f相关,那么不同f点的电长度将由

得到,这就是群时延测量。

理论上如果器件的电长度与频率无关,那么使用相位补偿方法与群时延测量方法得到的结果是一致的。但是,在实际测量中测量结果会受到噪声和多次反射等不确定因素的影响,而群时延测量对矢量网络分析仪显示相位曲线的起伏的敏感度远较相位补偿测量方法为敏感。
正是因此,对于器件在不同频率点的时域响应的测量群时延测量方法更具通用性。另外,考虑到在矢量网络分析仪的实际操作中对补偿电长度Lr的输入数值位数的限制,对于较长的电长度测量,可以考虑混合使用相位补偿和群时延测量,以达到对较长电长度的高分辨率测量结果。
实际测量中电长度的测量精度的影响还应该考虑多次反射造成的测量相位曲线的起伏,在

中,由于以上所述的影响可以得到

,那么我们可以对各频率点的Δ(f)进行最小二乘法推算准确的Lr值,即得到

为最小时Lr的值,当然也可以根据此推算Lr值的误差范围和可信度。
如果使用矢量网络分析仪的时域门功能去除多次反射造成的误差可以进一步提高相位补偿方法测量器件电长度的准确度。

这是上面示例的电缆线在多次反射情况下,对Lr归一后相位曲线的起伏。在矢量网络分析仪的时域显示中采用时域门功能滤除不需要的反射信号后,可以进一步提高相位测量曲线的平坦度。

可见,在滤除不需要的反射后,对Lr归一后相位曲线的起伏减小明显。频率点的Δ(f)的误差值也相应减小,测量可信度增加。当然此项应用只是利用矢量网络分析仪的时域门功能去除不需要的响应,需要进行较高分辨率的器件电长度测量仍然可以考虑使用频率域相位测量方法。
下一篇:MPU是什么 MPU的功能