时间:2023-06-13 11:42
人气:
作者:admin
评估板(EVB)及其配套软件具有即插即用功能,可轻松评估ADI公司产品的性能。其图形用户界面(GUI)提供了直观的方式,可进行手动配置并与该设备通信。但是,在更复杂的产品中,如果不能自动处理这些重复性任务,那么在评估所有可用功能的同时,扫描产品的所有附加功能可能会变得非常耗时。
本文说明如何记录宏,以及如何无需开发复杂的软件控制器代码,也能在Python®和MATLAB®环境中使用宏来自动处理某些评估任务。本文以 AD7380和 AD7606C-16为例自动处理所有用户交互,用于扫描不同的配置,发起转换,然后导出结果。本文使用这些示例来自动评估过采样数字滤波器带给模数转换器(ADC)的性能优势。虽然本文着重介绍AD7380和AD7606C-16,但本文中的信息也适用于ADI的其他产品和应用。
简介
ADI提供了一些方法来轻松评估每次发布的新产品、其可实现的性能及其特性。首先,我们的评估板由印刷电路板(PCB)(集成主要器件,例如ADC)和所需的配套产品(例如基准电压源、驱动放大器、时钟源、电源解决方案等)组成。其次,这些板附带的软件可以展示解决方案可实现的实际性能。它展示了使用该平台可以获得的真实数据。在过去几年中,ACE软件1平台一直用于此目的。
在ACE平台中,每个产品都有一个插件,通过简洁明了的GUI访问设备寄存器映射,从而简化了设备配置。
在ADC示例中,ACE通常以波形或直方图的形式显示原始数据,并通过FFT计算AC性能指标,例如SNR或THD。本文展示如何无需进行软件开发自动处理所有这些程序。
ACE插件
图2显示AD7380插件芯片视图,其中包含多个按钮,以便轻松配置该器件:
REF允许选择内部或外部基准电压源
OSC可以启用过采样,并设置过采样率

图2. AD7380的ACE插件芯片视图。
图3显示AD7606C-16插件芯片视图,其中多个按钮用深蓝色突出显示,可用于:
通过单击PGA符号选择每个通道的模拟输入范围
选择内部或外部基准电压源
选择过采样率
配置偏置/增益/相位校准功能
配置诊断

图3. AD7606C-16的ACE插件芯片视图。
虽然前面的示例使用AD7380和AD7606C-16,但本文不止介绍这些产品,还包括与ACE配套使用和用于自动处理重复性任务的所有其他器件。每个ACE插件都有自己的GUI布局。但是,随着产品日益变得复杂,添加的功能越来越多(例如诊断、校准等),手动测试所有这些功能也会变得更加复杂和繁琐。ACE远程控制能够设置或扫描参数,例如,扫描过采样率和测量噪声性能的改善程度。
设置ACE远程控制
在开始编写远程控制ACE的代码之前,需要先按照以下步骤与ACE建立通信:
打开ACE,前往设置
找到IPC服务器选项卡,确保已启动该服务器
确保已分配了一个端口,最好是2357

图4. 与ACE建立通信。
记录宏,生成脚本
ACE提供宏工具菜单,通过将配置和设备交互步骤存入宏文件进行记录。生成宏之后,可以使用该宏来一次性自动重复所有步骤。以下是生成宏的步骤:
打开ACE,进入工具 >> 宏工具。
点击图5中蓝色高亮显示区域中图标右侧的记录宏命令按钮。
开始执行设备交互,例如更改参数、向存储器映射中的寄存器输入值、捕捉数据等。在浏览和使用GUI时,命令窗口中会填入信息。
在记录要输入的所有操作/设置之后,点击停止记录宏命令按钮。按钮在上述同一位置。将会自动弹出命令窗口。
例如,在记录宏时,用户使用图2中所示的按钮配置过采样率和分辨率模式。命令窗口如图5所示。

图5. 命令窗口和宏工具。
在这个窗口中,可以查看记录的所有步骤,甚至可以跳过/中断任何无需自动生成的步骤,然后将整个程序导出到一个可选择语言的脚本中,如图5中红色高亮部分所示。
记录宏文件之后,可以再次保存和播放,以重复之前执行过的步骤。ACE有一个内置功能,可以生成脚本,按照所选的受支持的语言执行记录的操作。所以,按照之前的列表,接下来的步骤是:
点击图5中蓝色高亮显示区域右侧的生成图标,打开脚本生成器窗口。
从C#、MATLAB或Python中选择所需的语言,然后点击导出。
之后,可以将该代码导入IDE中执行。以这段代码为基础,添加额外的功能,例如仪器控制,构建自动测试台,以获取测量结果。2接下来的章节中显示的示例使用Visual Studio Code或MATLAB,这些示例仅使用产品评估板来执行噪声分析,不使用任何额外的设备。如需查找用于管理、存储或对收集到的数据进行绘制的代码示例,如接下来的几个章节所示,请访问 wiki.analog.com 并搜索相关的评估板。

图6. 使用Python语言的ACE代码生成编辑器。
使用Python自动处理评估任务
上一节中生成的.py文件可用于轻松启用和重复之前记录的一系列操作。此外,通过编辑这些脚本和自动处理某些任务,还能获得更大的益处。在前面的示例中,在AD7380 ACE插件中设置了过采样率和分辨率,对生成的宏进行了编辑,以便使用输入参数,如图7所示。注意,默认情况下,这些宏被称为execute_ macro(),但可以将这个名称更改为更具描述性的名称。

图7. 编辑Python函数,以便使用输入参数。
这些宏现在可以在内部调用实现循环,扫描过采样率值,显示噪声性能如何随着过采样率提高而改善,以及启用两个额外的分辨率位带来的好处。

图8. 这些指令用于实现循环,该循环扫描过采样率,打开和关闭两个额外的分辨率位。
因此,Python示例代码访问导出的数据文件,读取ACE插件测量的SNR数据,并通过串行监控器报告数据。如表1所示,过采样可以改善噪声性能3,但在某些情况下,为了展示AD7380显示为18位字,而非16位字带来的真正优势,需要两个额外的分辨率位。
| OSR | 动态范围 (正常分辨率) | 动态范围 (提高分辨率, 18位) |
| 1 | 90.8 dB | 90.8 dB |
| 2 | 92.6 dB | 93.6 dB |
| 4 | 94.3 dB | 96.5 dB |
| 8 | 95.8 dB | 99.2 dB |
| 16 | 96.3 dB | 100.4 dB |
| 32 | 96.5 dB | 100.5 dB |
使用MATLAB自动处理评估任务
与Python示例一样,自动生成的代码也可以导出用于MATLAB中,在本例中生成一个.m文件。在本例中,宏被定义为一个函数,但可以对宏进行编辑,以便使用输入参数。以下MATLAB示例使用AD7606C-16板。
同样,可以通过自动使用ACE来轻松评估AD7606C-16的过采样优势。图9显示一个MATLAB函数,经过编辑后可以使用多种参数,例如吞吐量、样本数量、接口类型(串行或并行)、基准电压源(内部或外部)、过采样率、数字走线数量或模拟输入范围。

图9. 编辑MATLAB函数,以便使用输入参数。
这个特定函数可以在主代码中使用,以快速启用不同配置的数据采集,轻松执行多个AD7606C-16指标比较,例如:
噪声性能与过采样率
性能与吞吐量
性能与模拟输入范围
内部基准电压源与外部基准电压源
串行接口与并行接口
等等。注意,这只是以AD7606C-16为例;根据所评估的产品不同,可能需要执行多种不同的性能评估。
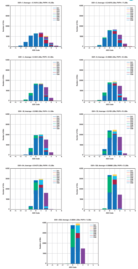
您可以访问wiki.analog.com4 查看AD7606C-16的使用说明,包括可用的源代码。其中介绍了如何生成宏代码,也给出了后期处理数据的示例。OversamplingSweep.m示例扫描过采样率,针对每个值绘制代码直方图。如图10所示,过采样率越大,代码直方图越窄。表2也显示代码的峰峰值分布如何随过采样降低。

图10. 代码直方图显示噪声性能如何随过采样率改善。可使用简单脚本扫描可用的多种过采样率选项(高达256个)。
| OSR | 峰峰值 (LSB) |
| 1 | 16 |
| 2 | 13 |
| 4 | 12 |
| 8 | 10 |
| 16 | 7 |
| 32 | 6 |
| 64 | 4 |
| 128 | 4 |
| 256 | 2 |
结论
新型ACE平台可作为新评估板的软件框架,由于能够记录宏,对于希望加快ADI产品评估工作速度的硬件设计人员来说,这是一个有利的工具。这些宏通过行业通用的编程语言,例如Python或MATLAB助力实现测试自动化。自动处理这些任务反过来又会加快产品评估和选型,帮助加快上市时间,缩短硬件设计周期。
审核编辑:郭婷