时间:2018-08-29 09:34
人气:
作者:admin
1 概述
听力与语言是人类互相交流和认识世界的重要手段,然而耳病和听力障碍的阴霾却困扰着人类。对于新生儿来说,越早诊断出听力损伤则治愈几率越大,因此用听力筛查仪对他们进行听力筛查尤为重要,听力诊断设备能够及早发现他们的听力损伤程度并给予及时帮助。而对于成年人及老年人来说,良好的听力诊断设备不仅能够帮助他们了解自己的听觉系统,还能协助听力障碍残疾人士选配恰当的助听器,帮助他们恢复健康生活。
耳声发射(Otoacoustic Emissions,OAEs)是一种产生于耳蜗,经听骨链及鼓膜传导释放入外耳道的音频能量,它是目前临床广泛采用的客观听力测试的途径之一。在外耳道中,由于耳声发射信号强度非常低,一般不超过20dB SPL(其中,SPL的含义是声压级,这一参数是国家计量部门用来校准各种听力仪器的基准值),而刺激伪迹相对要强得多,因此刺激伪迹的抑制一直是OAEs测量中很重要又很棘手的问题。本文对OAEs检测算法进行了研究,在嵌入式听力诊断系统中综合运用了目前的信号处理方法,在伪迹消除方面取得很好的效果。
2 耳声发射信号的构成
诱发耳声发射信号在外耳道内的构成可以用图1的模型来近似表示。

图1 诱发耳声发射信号在外耳道内信号模型
图1中,G1表示声信号经外耳和中耳的传递函数,其中包括外耳道、鼓膜及听骨链的响应;G2表示声能在听觉传导通路中的反射;L(t)表示刺激声经过听觉通路的传播、反射后在外耳道内的响应信号,即刺激伪迹;NL与NL(t)表示刺激声诱发的耳蜗响应,即耳声发射信号;N(t)表示外耳道内的随机噪声,R(t)表示耳道内的信号。R(t)可以表示为:
R(t)=L(t)+NL(t)+N(t)
由于耳声发射信号强度非常低,一般不超过20dB SPL,所以在诱发的耳声发射信号中刺激伪迹占了很大比例,在OAEs测量中,必须对刺激伪迹进行有效的抑制。
3 伪迹消除的方案
在听力正常的情况下,TEOAEs(Transient-Evoked Otoacustic Emissions,瞬态诱发耳声发射)相对于刺激信号的延迟时间为3~5ms,持续时间为15 ms左右。TEOAEs的频率成分与刺激信号的构成有很大关系。TEOAEs的潜伏期与频率有关,在时间上高频成分出现在先,低频成分出现在后。根据英国学者Kmep的报道:5 000Hz的TEOAEs的潜伏期为4ms,而500 Hz的信号潜伏期则在12 ms左右,这种现象主要是因为不同频率的行波在基底膜上行走的距离不等。刺激声强度对TEOAEs的波形和幅度也有一定的影响,高刺激强度时可以得到OAEs更宽的频率范围。随着刺激强度的降低,OAEs的能量越来越窄地集中到几个接近自发耳声发射的频率上。用较高刺激强度可以得到耳蜗更全面的信息,但也相应增加了刺激伪迹(外耳道及中耳道对刺激声的直接反射)的强度与持续时间。所以,在TEOAEs检测时需要对刺激伪迹进行消除。其相关系数如图2所示。

图2 TEOAEs相对于刺激延迟时间系数图
3.1 时域加窗法
从刺激开始算起约经过5 ms的时间伪迹就可以基本消失,而TEOAEs有3~5 ms的潜伏期。由于从刺激开始算起0~2.5 ms主要是伪迹成分,常常把这段时域内的信号设为0;而2.5~5.1 ms时域内为TEOAEs与伪迹共存区域,随着时间的增加,伪迹成分逐渐减少而TEOAEs的成分逐渐增多。在5.1~20 ms时段主要是TEOAEs,因为此时域窗选择为余弦上升或下降的矩形窗,余弦上升或下降时间一般为2.5 ms或2.6 ms。该方法的主要优点是能将刺激伪迹很干净地去除,且方法简单,但TEOAEs中部分短潜伏期的成分(一般为高频成分)也同时被去掉了。
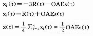
3.2 非线性差分平均法
非线性差分平均(DNRL)又称之为“导出的分线性响应”。其基本原理是把采集波x(t)表示成反射波R(t)和耳声发射波OAEs(t)的叠加:
x(t)=R(t)+OAEs(t)
假设反射波R(t)主要是线性成分,它与刺激声强度成正比增加;而OAEs(t)在适当的刺激强度范围内呈饱和特性,它基本不随刺激强度增大而增加,即具有非线性特点。因此,把相邻4次刺激记录作为一组,其中后3次刺激强度和极性相同,第1次刺激强度是后3次的3倍且极性相反,最后取4次记录累加平均,则有:

把所得结果加大一倍便是所要的OAEs(t)波形。DNLR方法的突出优点是当刺激声强度较大时,即TEOAEs表现为较强的饱和非线性时,可以有效地去除伪迹。但是,它也存在以下2个缺点:
①实际的TEOAEs不仅有非线性成分,还有线性成分。当刺激强度较高使得TEOAEs接近饱和区时,非线性成分是占主要的,此时该方法效果较好;但当刺激强度较低使得TEOAEs处于非饱和区时,线性成分是主要的,在此情况下DNLR方法是不可行的。
②与采用相同刺激的相干平均法相比,DNRL方法会使信噪比降低,且经其处理后得到的TEOAEs的幅度会减少。
4 实验结果
测试条件:在本实验室自行设计的嵌入式听力诊断系统平台上进行测试;背景噪声小于50 dB SPL;刺激信号强度为80 dB SPL。
在处理信号方案的设计中,综合运用了时域加窗法和非线性差分平均方法:先用余弦上升为2.5 ms余弦矩形窗,以滤去潜伏期的伪迹;然后用非线性差分平均方法,滤去潜伏期后的伪迹。这样综合了上述两种去伪迹的方法的优点,弥补了各自的不足,取得了很好的信噪比,达到了消除伪迹的目的。
对10个年轻人的单侧耳进行瞬态诱发而进行测试,并估算出的信噪比,其结果如表1所列。

表1中,第一行的数据是采用单纯的时域加窗的方法所得到的信噪比;第二行采用综合的方法,即先后使用了时域加窗法和非线性差分平均法。从表1可以看出,信噪比得到了显着的改善。
下一篇:采用一个能够支援多重视讯输入格式