时间:2023-07-10 16:13
人气:
作者:admin
1.概述:
基于载波的SVPWM发波计算Mathcad实例,由于本文分析SVPWM,因此没有控制环路的PID环节,为了简便输入直接给定dq值,经过park 和clark变换后,生成ABC三相电源,送给SVPWM程序判断扇区生成调制波。与载波比较后产生开环的IGBT驱动脉冲。
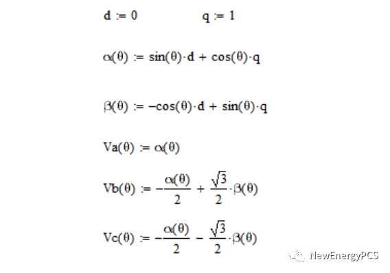
2.坐标变换:


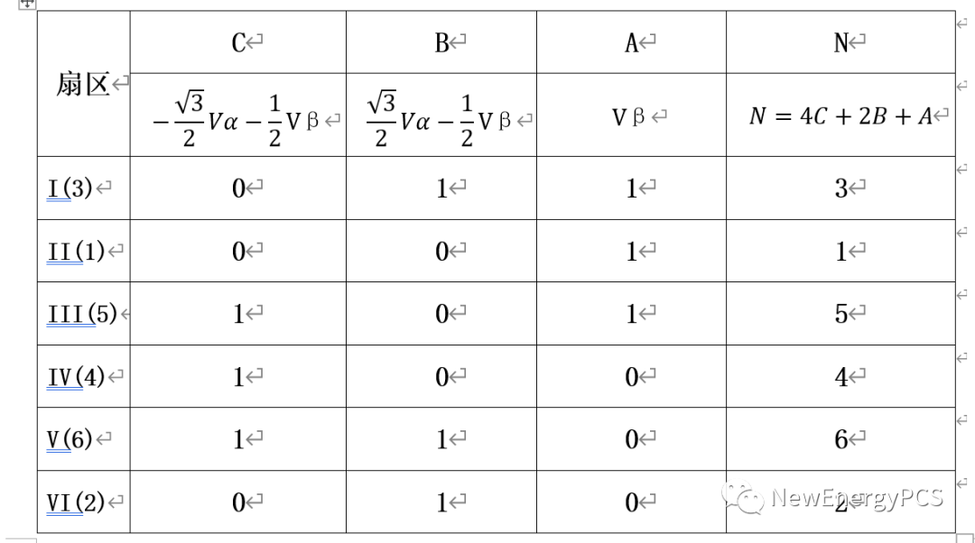
3.矢量扇区与载波调制的关系:




依次为I II III IV V VI 对应的扇区值为315462.
4.矢量扇区判断输出参考波:


空间矢量从I扇区旋转一周,对应的扇区值分别为315462,矢量旋转一周的周期与三相电源的周期相同即频率相等。
5.输出开环驱动波形:

载波与参考波比较

IGBT驱动脉冲

平均相电压波形

平均线电压波形

共模电压波形
6.SVPWM-三次谐波注入法:
有相关文献证明SPWM+零序分量(即三及三的倍数次谐波注入)调制可以和SVPWM等效,使SPWM调制获得输出线电压=直流侧电压的效果,即直流侧电压利用率为1。三相电源的负载一般是三相对称的,相电压三次谐波不影响线电压,如果负载是三相四线制,一般不会注入三次谐波。
一般采用最大最小法注入三次谐波:



证明:SVPWM调制为基波叠加20%的3次谐波波形重合结论正确。