时间:2023-07-10 17:16
人气:
作者:admin
1.前言:
SVPWM可以通过载波比较的方法实现开关控制信号输出。那SVPWM的调制波的数学表达究竟是怎样的呢?答案是SVPWM实质是一种对在三相正弦波中注入了零序分量的调制波进行规则采样的一种变形 SPWM。
但 SVPWM 的调制过程是在空间中实现的,而 SPWM 是在 ABC 坐标系下分相实现的;SPWM 的相电压调制波是正弦波,而 SVPWM 没有明确的相电压调制波,是隐含的。为了揭示 SVPWM 与 SPWM 的内在联系,需求出 SVPWM 在 ABC 坐标系上的等效调制波方程,也就是将 SVPWM 的隐含调制波显化。
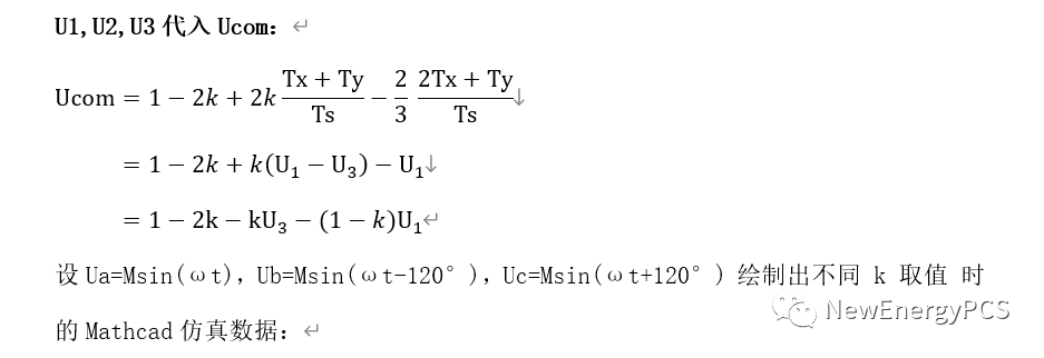
2.推导调制波表达式:
在七段式发波考虑的是T0平均分给U0(000)U7(111)矢量的情况。考虑更一般的情况,设U0(000)和U7(111)作用的时间分别为Tu0=KT0,Tu7=(1-k)T0





将三相正序参考波相加可 得 u1 + u2 + u3 = 0,验证前面 SVPWM 的参考波是在基波中加入零序分量的假设正确。




k = 1/2 时即是对称七段开关模式下的情况,同时也与三次谐 波注入的 PWM 参考波形相同。k = 1 和 k = 0 时有较长时间内开关没有动作,可以降低器件开关次数和开关损耗。
结论1:
合成参考空间矢量时,两个零矢量的作用仅仅是补齐一个时间周期,而这两个零矢量产生的输出总是三相相等的,也就是说零矢量为三相对称正弦波形中注入了共模/零序分量。这个结论更严谨的论证待补充与讨论。
结论2:
奇数扇区依次为:U0,Uk,Uk+1,U7,Uk+1,Uk,U0
偶数扇区依次为:U0,Uk+1,Uk,U7,Uk,Uk+1,U0
利用空间电压矢量时间计算,可总结出下式:


推导出的相电压调制波函数来看,输出的是不规则的分段函数为马鞍波形。从线电压调制波函数来看其输出的则是正弦波。
下一篇:上架式工控机具有哪些特点?