时间:2023-04-20 12:46
人气:
作者:admin
艾为线性马达驱动芯片覆盖常压、中压Charge pump、高压Boost三大类,应用简单,具有丰富的效果空间,可实现闭环硬件控制,并且可定制振动波形,能让马达随心而振。目前已有超4亿设备搭载艾为Haptic驱动芯片。为满足车载客户在智能表面领域使用触觉反馈代替实体按键需求(戳此回顾智能面板艾为芯应用方案——【技术帖】汽车智能表面和其背后的关键技术探讨),艾为推出一款集成高压Boost,带LCC(马达一致性校准),AAE(自动刹车),故障自检功能的Haptic驱动IC AW86907QNR-Q1,在awinicTikTap触觉效果调校的加持下,为用户提供丰富定制化的触觉感受。AW86907QNR-Q1符合AEC-Q100车规认证标准。
AW86907QNR-Q1基本参数
- F0检测和LCC3.0(马达一致性校准) - AAE(自动刹车) - LRA阻抗和故障检测 - 低输入电压自动降低输出幅度,避免拉垮前端电源 - 高电压11V输出 - UVP, OCP, OTP保护 - AEC-Q100认证 - WBQFN 4mm×4mm×0.75mm-32L
应用优势
1. LCC3.0:马达F0自动追踪,获取一致振动效果 2. AAE自动刹车,手感干脆无拖尾 3. awinicTikTap提供客制化触觉效果(硬质干脆,软质圆润) 4. 马达建模,波形定制服务 5. 马达故障检测
01 LCC3.0:马达F0自动追踪,获取一致振动效果 马达间的F0谐振频率差异会导致同批次马达得到的振动效果不一致,艾为专有的LCC(马达一致性校准)3.0技术,通过检测每一颗马达谐振频率F0,调整波形参数,最终得到高一致性的马达振动体验。 02 AAE自动刹车,手感干脆无拖尾 AW86907-Q1支持AAE硬件刹车动作,为客户带来更干脆的振感效果,客户可通过AAE功能一键调试波形且可使所有马达刹车动作一致性更好。 03 awinicTikTap提供客制化触觉效果 “awinicTikTap”是艾为注册商标,TikTap算法为触觉反馈提供丰富的选择以及客制化的效果,以车载智能表面为例,不同质感的表面材料可以搭配不同的振动效果,偏硬的金属材质表面可以搭配清脆振感,而皮革材质表面则适合搭配圆润的振动效果。 04 马达建模,波形定制服务 针对不同的马达型号和振动效果需求,艾为提供客制化的马达建模和波形仿真、设计服务。

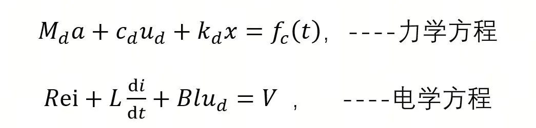
马达建模后仿真和实测波形示例 艾为马达建模,不挑马达,不论厂家,都可根据模型拟合出马达的LPM参数(Re-直流阻抗,L-感值,Kd-弹簧劲度系数,Cd-阻尼系数,BL-磁力系数,Md-振子质量),根据电学方程和力学方程式可随心所欲,设计所需振动波形。上图验证仿真波形与实测波形基本一致。

05 马达故障诊断
车载应用要求系统发生故障时进行检测,并记录故障状态供主控查询。AW86907-Q1支持马达阻抗和短路/开路检测,检测结果记录在寄存器中,通过I2C可查。
编辑:黄飞
上一篇:变频器专用进线申抗器的功能