时间:2023-03-28 14:34
人气:
作者:admin
电磁转矩可以用以下三种表达式:
1. 动能定理:T = ΔK/Δθ
其中,ΔK是转动物体由于电磁力所获得的增量动能,Δθ是物体由静止到达某一角度时的转角增量。
2. 感应电动势:T = Eb * Ia
其中,Eb是电机转子产生的感应电动势,Ia是电机的电流。
3. 磁力与物理距离:T = (μ0/4π) * (m1 * m2 / r^2)
其中,μ0是真空磁导率常数,m1和m2是两个磁极的磁矩,r是两个磁极之间的物理距离。 这些表达式都是用来计算电机转矩(即电机的扭力)的。
工业企业通常建议使用手册或产品铭牌中提供的数据代替电动机参数来计算转矩特性曲线Tem=f(s)。这些计算可以使用以下实际表达式:电磁转矩公式。
如果您使

并忽略电阻R1,则公式(ZJ.13),(ZJ.14)可以写为:

(5.99)

(5.100)
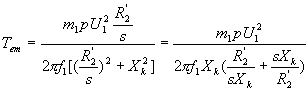
将公式(ZJ.22)替换为公式(ZJ.21),您将获得以下结果:

(5.101)
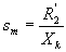
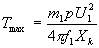
并将s=sm代入公式(ZJ.23),您可以获得Tmax。即:

(5.102)
将公式(ZJ.23)与公式(ZJ.24)进行比较,可以真实地表示电磁转矩。即

(5.103)
电机手册中经常列出额定功率PN,额定转速nN和过载系数kM。根据这三个数据,可以创建扭矩特性曲线Tem=f(s)或可以使用扭矩的实际表示来计算扭矩。具体步骤如下:
(1)根据电动机手册计算TN。
(2)以kM为单位的Tmax的计算;
(3)smax可以通过kM,sN和公式(ZJ-25)获得。
(4)计算后,可以用(ZJ-25)代替,并且可以随时获取温度。
该表达式主要用于查找电动机的机械特性曲线。
但是,电磁转矩的三个表达式都没有考虑到电动机参数不是真正的常数这一事实,因此在使用它们时要小心。由于转子电阻和电抗的趋肤效应,定子和转子电抗以及启动时的漏磁通饱和度的趋肤效应,这两个因素与电动机的滑差速度s有关,因此电动机参数无关。滑移率s。您需要同时使用不同的值。