时间:2023-03-22 09:23
人气:
作者:admin
在电机无感控制算法方面,TI提供了eSMO滑模观测器来计算电机转子角度. 在应用方面,TI提供了eSMO lib文件和相关文档说明eSMO的使用,但是在使用过程中,可能没法从相关文档上理解Fsmopos和Gsmopos的含义,不方便调试. 因此本篇主要推导 TI eSMO电流计算公式,并导出Fsmopos和Gsmopos(分别简称F和G)公式,同时我们可以从推导出的公式看到TI 的计算和其他F和G的计算方式的差别,加深理解和熟练应用.
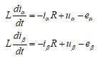
PMSM在静止α、β坐标系下的数学模型如下:

(1)

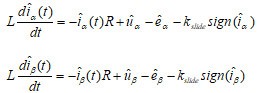
TI eSMO滑模观测器结构数学模型如下

从结构上看,比较清晰明了,使用开关切换函数估算反电动势,从而求得电机转子角度.
从而我们可以得到以下的观测器表达式

其中

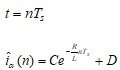
基于以上公式,我们在α轴上求解eSMO电流,类似地可以求得β轴电流公式.

电流在时域下的解为:

对应离散时间Ts的电流解为

(1)
从而得到:

(2)
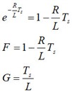
(2) – (1)得到

从而可以得到

注意: 如果离散时间Ts足够小,可以使用

近似.
那么就有

这样就跟其他非指数形式的表达式一样.
审核编辑:郭婷