时间:2023-01-12 16:49
人气:
作者:admin
为了简化分析,假设三相PMSM为理想电机,满足以下条件
忽略电机铁芯饱和
不计电机中的涡流损耗和磁滞损耗
电机中的电流为对称的三相正弦波电流
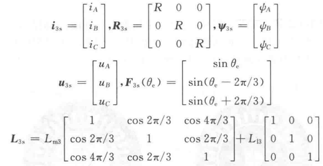
可以得到在自然坐标系下PMSM的三相电压方程,如下图所示

磁链方程

其中
表示三相绕组磁链,、R、
分别表示三相定子电压、电阻和电流。
为三相定子绕组,
为三相绕组的磁链,满足一下公式

其中Lm3表示定子互感,Fl3表示漏感,实际上不会去考虑漏感,从公式上也可以看出漏感的大小为定值。 而且此时也没有去考虑转子带来的互感,不容易计算。
上述公式构成了三相PMSM的基本数学模型,但是由上述方程也可以看出,表达式非常复杂,为了便于后面的控制,必须要进行降阶和解耦控制。
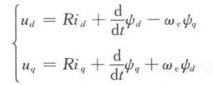
对上式进行clark和park变换,可以得到

定子磁链方程

当坐标系为变换到转子坐标系时,永磁体磁链与定子绕组d轴磁链重合。
由上式,可以得到电压等效电路,如下

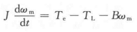
电机的机械运动方程

其中,Wm表示电机的机械角速度,J为转动惯量,B为阻尼系数,TL为负载转矩,Te为电磁转矩。
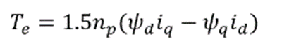
电磁转矩满足以下方程

其中np为极对数。
审核编辑:汤梓红