时间:2023-01-19 15:48
人气:
作者:admin
01两种Park变换
当电动机的三相绕组通以对称的三相正弦电流时,就会产生合成磁动势,它是一个在空间以w速度旋转的空间矢量,在实际的交流电机以及系统分析中,可以通过Park变换将参考坐标从旋转电机的定子一侧转移到转子一侧的坐标表示,包括经典Park变换与正交Park变换。
经典Park变换的核心思想是,在两相静止坐标系变换到两相旋转坐标系的过程中电流的空间合成矢量不发生变化;
正交Park变换的核心思想是,在两相静止坐标系变换到两相旋转坐标系的过程中磁动势保持不变。
02在PMSM中建立合适的坐标系
图1-1中有两相静止坐标系和以同步电机同步转速w旋转的坐标系,沿静止坐标系方向通以两相电流,沿旋转坐标系dq方向通以电流id、iq产生的合成电流矢量I相等。

图1-1 Park坐标变换
03Park变换原理
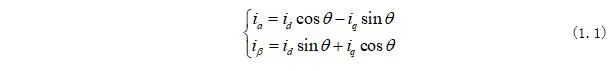
两相静止坐标系和两相同步旋转坐标系的各个电流存在如下关系:

写成矩阵形式为:

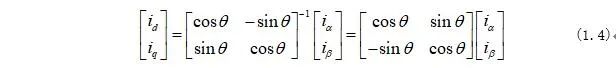
式(1.2)中变换矩阵为Park矩阵的逆矩阵:

将式(1.3)代入式(1.2)可求得两相旋转坐标系下各个电流的关系式为:

所以Park变换矩阵为:

04如何应用?
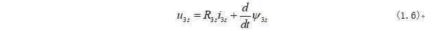
如何得到永磁同步电机在两相同步旋转坐标系下的电机电压方程?
永磁同步电机的定子电压方程在三相静止坐标系下为:

将式(1.6)乘以Clarke矩阵可以得到永磁同步电机在两相静止坐标系下的电机电压方程为:

同理,将式(1.7)乘以Park矩阵就可以得到永磁同步电机在两相旋转坐标系下的电机电压方程为:

05思考题
为啥永磁同步电机从三相静止坐标系经过Clarke变换和Park变换后,存在两种系数?
第一种:

第二种:

哪种是正确的? 答案留给下期解答,敬请关注!
下一篇:详解PMSM中常用的两种坐标变换