时间:2018-07-06 08:57
人气:
作者:admin
高阻抗电弧炉是一种高效率的新型炼钢炉,它具有一系列突出的优点:能大幅度地降低电能和电极消耗、能显著地减少对供电电网的短路冲击和谐波污染。
高阻抗电弧炉吸取了近25年来出现的所有电弧炉炼钢新技术,再加上泡沫渣的成功应用,使得一直发展缓慢的交流电弧炉在电弧稳定性、效率和对电网短路冲击减少方面均可同直流电弧炉相媲美。
本文介绍了带饱和电抗器和固定电抗器的高阻抗电弧炉。前者具有高超的伏安特性,使短路电流很小,基本上达到了恒电流电弧炉特性。
电弧炉属于热加工设备,如果中途停电,会造成很大的损失:使电耗和原材料增加,使产品质量下降,甚至造成整炉钢水报废,炉子越大损失越大。根据有关规范规定,电弧炉属于二级负荷。
对于炉子容量在50t及以上的电弧炉通常由两路独立高压电源供电,炉容较小的可由一路高压电源供电。
电弧炉的公共供电点系指其与电力系统相连接的供电点,并接有其他用户负荷。对公共供电点的要求主要考虑以下因素:
1)供电变压器容量要能适应电弧炉负荷特性的要求;
2)由电弧炉负荷引起的公共供电点的电压波动和电压闪变值、以及谐波电流值不得超过国标GBl4549-93中的允许值;
3)由电弧炉负荷引起的公共供电点的电压不对称度不得超过2%。
电弧炉的公共供电点有两种情况,其一是电弧炉系统直接与电力系统相连接;其二是电弧炉系统通过企业总变电所与电力系统相连接。电弧炉一般不由车间变电所供电。
当电弧炉由企业总变电所母线供电时,为了防止对其他负荷供电质量产生不良影响,一般要求供电变压器的容量为电炉变压器容量的2.5倍以上。当不能满足此要求时,或增大供电变压器容量;或采用专用中间变压器供电,这需要经过技术经济比较来确定。
当采用专用中间变压器供电时,该变压器容量的选择,应与电炉变压器经常过负荷运行状态相适应。此时,供电变压器二次侧的电压波动可不受限制;当供电变压器二次侧装有无功功率动态补偿装置时,该变压器容量应按补偿后的负荷情况选择。
高阻抗电弧炉主电路与传统电弧炉主电路的主要区别在于前者的主电路中串联一台很大的电抗器。它使电弧连续稳定地燃烧、电弧电流减小、电弧电压提高、电弧功率加大、电效率提高、谐波发生量及对供电电网的冲击减小。
由于高阻抗电弧炉的工作电流小,所以其二次载流导体、短网的截面积小,这也是高阻抗电弧炉的优越性,
电抗器分为固定电抗器和饱和电抗器两种。前者的缺点是不能自动调节电抗值。当工艺改变,需要改变电抗时,要提起电极、断电,然后才能改变电抗;而饱和电抗器则能根据炉况,自动地改变电抗值,基本上达到了恒电流电弧炉操作。
下面对带有不同电抗器的高阻抗电弧炉分别进行讨论。
在高阻抗电弧炉中,采用高电压、低电流、长电弧作业时,选择合适的功率因数,并有合适的系统电抗以达到稳定操作是至关重要的。在大多数情况下,必须采用电抗器与电炉变压器串联。带有固定电抗器的高阻抗电弧炉主电路图如图l所示。

这种高阻抗电弧炉的设计特点如下:
1)因电抗器电感的储能效应和高起弧电压的动态特性所获得的稳定起弧条件,导致高集成功率输入;
2)短路电流小,当废钢塌陷时,电极、电极臂和电缆上的电流小,因此,电极损坏的危险性小,机械磨损也少;
3)电极电流波动小,因而对电网的干扰也小;
4)电抗器线圈常常作成抽头式,以便根据不同工艺需要改变电抗值;
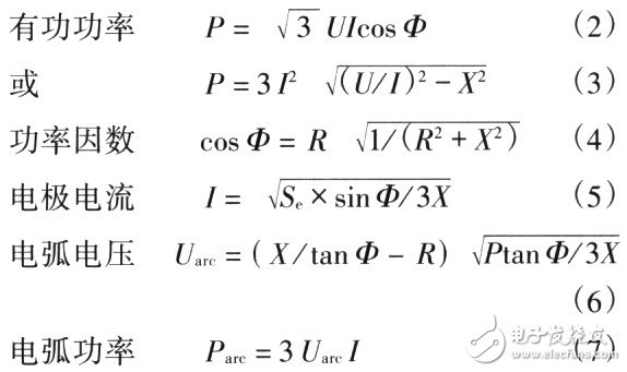
5)当电抗器串联连接于电路中时,电抗器的感抗相对值可按式(1)计算,XK%=100*(QK/Se)% (1)
式中:QK为电抗器的额定容量,Kvar;Se为电弧炉变压器额定容量,KVA。
6)串联电抗器和变压器一样,都是在重负荷情况下运行,因此,对其热稳定性和机械强度要求较高;
7)对现有电弧炉变压器及短网系统稍加改进,即可实现高阻抗化。
折合到变压器二次侧的系统总电抗对电弧炉操作过程的影响可以用下列关系式表示(这里假设有强有力的三相平衡供电电网):

式中:U为变压器二次电压;
Uarc为电弧电压;
I为电极电流;
X为折合到变压器二次侧的系统总电抗;
R为折合到变压器二次侧的系统总电阻;
P为有功功率;
φ为相位角。
由式(5)町明显看出:对于同样的功率和功率因数,提高电抗就可以降低电极电流。
为了说明不同的系统总电抗对电弧炉操作的影响,表1给出了丹涅利公司3台同样容量(90MVA)、不同电抗器的电弧炉的运行实例。

实例A为典型的传统电弧炉设汁,而实例B则是设计成较高的电抗和低电流操作,电弧功率与实例A相同,其电极电流只有50kA,实例A为65kA。实例C则是完全按照高阻抗电弧炉设计的,其二次电压高达1100V,系统运行总电抗为8.2mΩ,电极电流为50kA,损失功率很小,只有2..3MW,电效率非常高。短路电流小,只有93kA,短路电流倍数仅为1.86倍。其优点是对电网的冲击减小,使电弧更加稳定。
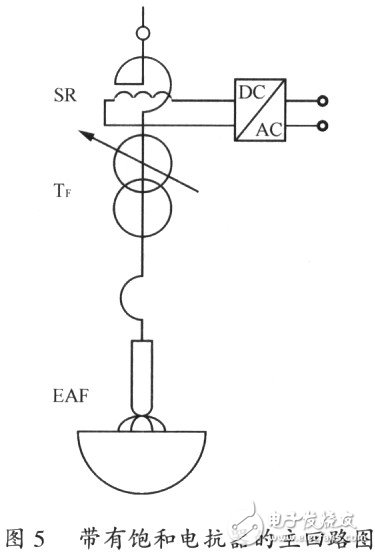
饱和电抗器是一种在同时有恒定磁场与交变磁场作用下工作的电抗器。饱和电抗器的电抗因其恒定磁场的改变而发生变化的这一特性被广泛地应用于各种电力调整设备中。利用饱和电抗器的下坠特性来限制短路电流,在真空电弧炉上曾经有成功的应用范例,为了这个目的而使用的电抗器有时被称为电流补偿电抗器。
当高阻抗电弧炉正常工作时,主电路中的电流为额定值,此时饱和电抗器受到最大的磁化作用,它在特性曲线上的工作点如图4中的a点所示,饱和电抗器的电压降较小。当炉子一旦发生工作短路时,流经电抗器的交流电流增加了,而直流电流却保持不变,这时的工作点移到同一曲线上的}1点,由图4可看出,这时饱和电抗器的电压降很大,从而限制了短路电流。即饱和电抗器的磁化作用自动地随着主电路所要求的电压而改变。

带有饱和电抗器的高阻抗电弧炉主电路如图5所示。饱和电抗器是利用铁磁材料的非线性磁化曲线进行工作的。每相饱和电抗器可被视为具有两个绕组的单相变压器,其中NL线匝与负荷(电炉变压器)串联称作负荷绕组;另一个NC线匝与NL电气隔离,并通以直流电流(IDC)称作控制绕组。
饱和电抗器通过控制绕组的安匝数,调节铁芯的饱和度,只要负荷绕组的安匝数比控制绕组的低(相当于图4中的a点),则负荷绕组产生的电压降很低,甚至可忽略不计。如果负荷电流ILMAX≥IDC*NC/NL,铁芯将会减小饱和度,而负荷电流的任何增量将产生大的磁通量变化,结果在负荷绕组中产生较大的电压降(相当于图4中的b点)。这就是产生下坠式伏安特性的理论依据。
通过改变控制电流IDC,就可能在由O至最大允许电流的范围内控制负荷电流。当负荷电流趋向于超过ILMAX时,饱和电抗器将产生较大的电压降,将电流限制在ILMAX值之内。通过选择控制电流,饱和电抗器即能以全电流控制模式或作为峰值限流器进行工作。
意大利Ferriere Nord钢厂的80t DANARC交流电弧炉是采用饱和电抗器控制的高阻抗电弧炉。该电弧炉的主要数据如下:
炉壳直径 5300mm;
电极直径 600mm;
电极圆直径 1150mm;
电炉变压器 55MVA+20%;
最大有功功率 43MW;
最大次级电压 985V;
饱和电抗器容量 76MVA;
饱和电抗器励磁系统 0.4MVA。

真空断路器的操作过电压是由于电路中存在着电感、电容等储能元件,在开关操作瞬间放出能量,在电路中产生电磁振荡而出现的过电压。在电感性负载电路中,真空断路器的分断操作会产生严重的高频振荡波形。曾测到过的最高值约为电源峰值的4.5倍。高阻抗电弧炉变压器原方串联一个很大的电抗器,其电感值非常大,因而产生的分断过电压非常高,已运行的高阻抗电弧炉现场也确实证明了这一点,因此,必须采取特别有效的过电压保护措施。
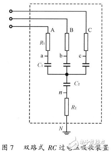
常用的过电压保护措施有阻容保护和避雷器保护。前者也有几种不同方案,但效果最好的方案如图7所示。


这种双路式RC过电压保护器的运行结果表明能够消除分断过电压振荡,R1C1主要保护相间过电压,R2C2主要保护对地过电压。对于用来吸收相间电路存储能量的R1C1值应选用O.1μF的电容器比较合适。根据《电机工程手册》第三篇高压开关设备所述,对于频繁进行投切操作的电弧炉变压器的真空断路器,过电压保护装置R1C1选C1=O.l~O.2uF,R1=100Ω。
组合式RC装置中的C2的接入是为了消除相对地的过电压,同时又能解决常规三组RC吸收装置中对地电流过大而烧毁电阻R1的缺陷。西安高压电器研究所与锦州电力电容器厂合作研制的组合式RC过电压保护器,已通鉴定并批量生产,几年来凡使用陔装置的电路从未发生过过电压事故。
关于第二种方案,用氧化锌避雷器截止操作过电压也有不同方案,效果最好的是三相组合式氧化锌避雷器,如图8所示。

它能够抑制分断真空断路器时引起的相间和相对地操作过电压,达到保护变压器和防止真空断路器相间和相对地闪络的目的,三相组合式金属氧化物避雷器能实现相问和相对地同时保护,因而一台三相组合式避雷器可代替4台普通型避雷器。对35kV电压,可选用Y0.1W~41/127×41/140型。
用真空断路器切断电炉变压器,通常都是在无载情况下进行操作(保护装置动作除外)。经验证明,真空断路器切断空载变压器时,产生的过电压最高,必须采取加强型的过电压抑制措施。因此对于高阻抗电弧炉设备来说,采用阻容吸收器(RC)和避雷器双重保护措施是需要的。其工作原理是用电容器减缓过电压波头,用避雷器限制过电压峰值。因为后者是由放电间隙和氧化锌非线性压敏电阻串联而成的。在产生过电压时,放电间隙被击穿,过电压加在氧化锌非线性电阻上,其阻值迅速减小,流过的电流迅速增大,这样就限制了过电压。
真空断路器与电抗器之间连线类型和长度与过电压值也有关系。如果真空断路器和电抗器之间用电缆连接,由于电缆本身的电感及较大的分布电容,则连接电缆长度与电抗器承受的过电压有直接函数关系——连接电缆长度与过电压倍数成反比例关系,即连接电缆越长,电抗器承受的过电压倍数越低。当连接电缆长度小于6m时,在电抗器的原方必须重复加装RC吸收器和氧化锌避雷器。
高阻抗电弧炉的基本原理是依靠提高变压器二次电压来增加电弧功率、依靠串联电抗器来稳定电弧和限制短路电流、依靠提高电效率来降低电耗和提高生产率。
带有饱和电抗器的高阻抗电弧炉能自动调节电抗值,能基本上作到理想的恒电流电弧炉。
在设计高阻抗电弧炉供电电路时,由于串联电抗器的电感值比较大,导致真空断路器分断过电压大幅度提高,因此,必须采取强有力的过电压保护措施。即应采取组合式氧化锌避雷器和四极式阻容吸收器的双重保护措施。
高阻抗电弧炉中的电抗器必须安装在变压器室内,而且娶紧靠变压器安装。