时间:2017-02-10 07:40
人气:
作者:admin
在电机控制、电磁阀控制、通信基础设施和电源管理等诸多应 用中,电流检测是精密闭环控制所必需的关键功能。如何设计宽动态范围的高端电流检测电路,这对于大多数工程师来说都具有挑战性,这里分享由ADI技术专家Neil Zhao、Wenshuai Liao 和Henri Sino提供的几个建议电路供大家参考。
将按照设计复杂度从高到低的顺序介绍三种可选解决方案,它们能针对各种不同的应用提供可行的高精度、高分辨率电流检测。
1. 使用运算放大器、电阻和齐纳二极管等分立器件来构建电流传感器。这种解决方案以零漂移放大器AD8628 为核心器件。
2. 使用AD8210 等高压双向分流监控器来提高集成度,并利用其它外部器件来扩展动态范围和精度。
3. 采用针对应用而优化的器件, 例如最新推出的AD8217。AD8217 是一款易于使用且高度集成的零漂移电流传感器,输入共模电压范围为4.5 V 至80 V。
解决方案一:配置一个标准运算放大器进行高端电流检测
图1 所示为一个采用AD8628 的基于运算放大器的分立解决方案。采用其它运算放大器时同一设置也有效,但必须尽可能具有下列特性:低输入失调电压、低失调电压漂移、低输入偏置电流和轨到轨输入输出摆幅能力。推荐的其它放大器包括AD8538、AD8571 和AD8551。

此电路监控高端电流I。放大器通过齐纳二极管打开偏置,本例中其额定值为5.1 V。二极管的使用确保放大器能够在高共模电平下安全地工作,并且其电源电压稳定在容许的电源限值以内,同时MOSFET 将其输出转换为电流,进而由电阻RL 转换为以地为参考的电压。这样,输出电压就能馈送至转换器、模拟处理器和其它以地为参考的器件(如运算放大器或比较器),以便做进一步的信号调理。
在此配置中,RG 上的电压与RSHUNT 上的电压相等,因为通过MOSFET 的反馈会使运算放大器的两个高阻抗输入端保持相同的电压。经过RG 的电流流过FET 和RL,产生VOUTPUT。流过分流电阻的电流I 与VOUTPUT 的关系可通过公式1 表示:

RSHUNT 选择:RSHUNT 的最大值由最大电流时的容许功耗决定,而最小值由运算放大器的输入范围和误差预算决定。一般情况下,为了监控10 A 以上的电流,RSHUNT 的值在1 mΩ 至10 mΩ之间。如果单个电阻无法满足功耗要求,或者对PCB 而言太大,则RSHUNT 可能必须由多个电阻并联构成。
RG 选择:RG 用于将与高端电流成比例的电流转换到低端。RG的最大值由P 沟道MOSFET 的漏极-源极漏电流决定。假设使用常见的P 沟道增强型垂直DMOS 晶体管BSS84,那么各种条件下的IDSS 最大值如表1 所示。
表1. 漏极-源极漏电流

RG 的最小值由最大负载电流时的容许镜像电流功耗决定:

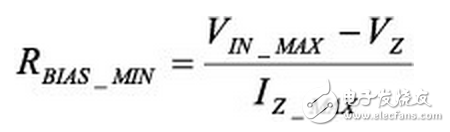
RBIAS 选择:通过RBIAS 的电流经过分流产生运算放大器的静态电流和基本恒定的齐纳二极管电压VZ(它决定运算放大器的电源电压)。当放大器电流ISUPPLY 实际上为0 且VIN 为最大值时,应确保流过齐纳二极管的电流不超过其最大调节电流IZ_MAX:

当ISUPPLY 为最大值且VIN 为最小值时,为确保二极管电压稳定,流过其中的电流应大于其最大工作电流IZ_MIN:

齐纳二极管和RBIAS 是这一解决方案的关键器件,因为它们消除了后续电路的高共模电压,支持使用低压精密运算放大器。为使电压保持最高稳定性,齐纳二极管应具有低动态电阻和低温度漂移特性。
R1 选择:R1 用于在输入瞬变超过运算放大器的电源电压时限制放大器输入电流。建议使用10 kΩ 电阻。
所选运算放大器的失调电压VOS 和失调电流IOS 是非常重要的指标,特别是在分流电阻值和负载电流很低的情况下。VOS + IOS× R1 必须小于IMIN × RSHUNT,否则放大器可能会饱和。因此,为获得最佳性能,最好使用具有零交越失真的轨到轨输入放大器。
对于这种分立解决方案,另一个需要考虑的问题是温度漂移。即使采用零漂移放大器,也非常难以优化,或者需要付出高昂代价才能优化下列分立器件所引起的漂移:齐纳二极管、MOSFET 和电阻。从表1 可知,当VGS = 0 V 且VDS = –50 V 时,随着工作温度从25°C变为125°C,MOSFET的IDSS最大值从–10μA 变为–60 μA。此漂移会降低系统在整个温度范围内的精度,特别是当受监控的电流很低时。齐纳二极管的漂移特性会影响放大器电源的稳定性,因此所用放大器应当具有高电源抑制(PSR)性能。
此外,设计人员必须意识到这一解决方案的功效很低,因为RBIAS 消耗了大量功率。例如,如果总线共模电压为28 V,齐纳二极管输出电压为5.1 V 且RBIAS 为1000 Ω 电阻,那么该电路的无用功耗将超过0.52 W。这会增加功耗预算,设计时必须考虑这一点。