时间:2014-07-15 09:21
人气:
作者:admin
引 言
起重机在工作过程中,由于小车运行的加速或减速,经常会导致吊重的摇摆,这不仅增加吊重卸料难度,而且给起重机的作业带来了不安全因素。因此,在起重机作业时,吊重的摆幅必须控制在一定范围内,到达目的地时吊重应立即停摆。为此,人们已经提出了多种防摇措施:如采用交叉钢丝绳减摇装置、分离小车减摇装置、翘板梁式减摇装置等机械防摇系统。由于机械式防摇其本质都是通过机械手段来消耗摆动能量以达到最终消除摆动的目的,没有将减摇与小车运行控制结合起来考虑,减摇效果在很大程度上取决于操作人员的熟练程度,而且在起重机满载和空载两种情况下的减摇效果差别很大,难以满足用户要求。后来出现了带视觉传感器电子防摇技术,通过各种传感器和检测元件将检测到的信息传送到控制系统中的微机,经微机内部控制软件处理后将最佳的控制参数(如PID控制参数)提供给小车调速系统,通过调节小车的速度和方向,控制小车的运行,来减少吊具及负载的摆动幅度。但由于目前所采用的是通过在小车架上安装一个发射装置(激光发射器、摄像头等)和一个接收装置,在吊具上架安装一个反射器,吊具前后摆动时,检测吊具前后摆动的角度。由于需要附加安装价格昂贵的视觉传感器检测和接收系统,所需付出的代价是很大的;在天气恶劣的情况下(如遇浓雾、暴雨、直射阳光等) ,视觉传感器的使用也常常受到某些限制,难以获得最佳控制效果。
本文通过建立起重机载荷摆动的数学模型,明确吊重摆幅与小车运行加减速之间的关系,并将基于微机电系统(MEMS)加工技术制作的微加速度计应用到起重机的防摇控制系统中,即时检测小车运行加速度并估计得到吊重偏摆角度。通过建立闭环控制系统,适时根据吊重摆幅大小修正小车速度指令,实现防摇控制。这种方法克服了传统的机械式防摇技术及带视觉传感器电子防摇技术中的不足与缺陷,达到理想的控制效果。
起重机吊重摆动的数学模型
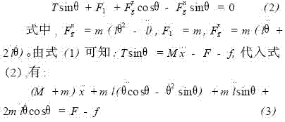
小车-吊重摆动系统简化力学模型分析如图1(a)所示。M和m分别为小车和吊重的质量,l为缆绳的长度,x表示小车在水平方向上的位移,θ表示吊重的摆角,F为小车运行牵引力,f为小车运行静阻力,g为重力加速度。
为了便于分析,根据起重机工作的基本情况,这里作一些简化处理:
(1)假定小车在行走的过程中,缆绳的质量相对于吊重及小车的质量可忽略不计;
(2)吊重及吊架看作整体视为质量块m加以分析;
(3)吊重与缆绳在运行过程中所受的风力和空气阻尼以及系统的弹性变形均不计。

(a)小车-吊重摆动系统 (b)吊重受力平衡
图1 小车-吊重系统力学模型
如图1(b)所示,设缆绳的张力为T,取x、θ为广义坐标,对小车建立运动微分方程:
![]()
根据达朗伯原理,对吊重进行受力分析,它受重力mg,缆绳张力T,法向惯性力Fng ,切向惯性力Fτg ,水平惯性力F1作用。如图1( b)所示。在水平方向上建立平衡方程,有

在垂直于缆绳方向上建立平衡方程,有:
![]()
整理可得:
![]()
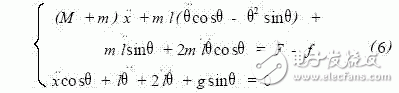
则吊具摆动的线性化模型为:

如果只考虑在操作点θ0附近只有很小的θ变化,并假定在整个过程中缆绳的长度l始终保持恒定不变,可作如下简化:
![]()
由此方程组(6)转化为:
![]()
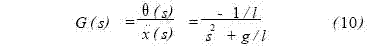
对方程式(8)进行Laplace变换,有:
![]()
对象的传递函数为:
![]()
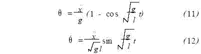
根据式(8)得到:

式(11)、(12)是初始条件为t = 0,θ= 0,θ=0的解,可以发现吊具的摆动是随时间作周期性变化,其摆幅、摆速与小车运行加速度成正比。因此,只要确定了小车运行加速度的大小与方向,吊重的摆幅、摆速也就相应得到确定。
微机电系统(MEMS)及微加速度计
微机电系统(MEMS)
从20世纪60年代起,微电子技术和微加工技术(包括硅体微加工、硅表面微加工、LIGA和晶片键合等技术)的结合,制造出各种性能优异、价格低廉、微型化的传感器、执行器、驱动器和微系统。微机电系统(MEMS)是集微机构、微传感器、微执行器、信号处理、控制电路、通信接日及电源于一体的微型电子机械系统。这种微机电系统不仅能够采集、处理与发送信息或指令,还能够按照所获取的信息自主地或根据外部的指令采取行动。目前研究最成功、应用最广泛的微机电器件是微传感器,而微加速度计作为微传感器的杰出代表已经广泛应用于汽车智能化控制系统中,如安全气囊系统检测和监控前面后面的碰撞等等。
微加速度计的结构模型
图2为电容式微加速度计的结构模型。

图2 微加速度计的结构示意图
图中的质量块是微加速度计的执行器,与质量块相连的是可动臂;与可动臂相对的是固定臂。可动臂和固定臂形成了电容结构,作为微加速度计的感应器。其中的弹簧并非真正的弹簧,而是由硅材料经过立体加工形成的一种力学结构,它在加速度计中的作用相当于弹簧。