时间:2013-01-23 11:07
人气:
作者:admin
1.2.2多普勒信号解调方法
CW Doppler流量测量中换能器接收到的信号可认为是多个多普勒频移成份的叠加,表述为:

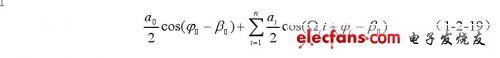
式中ai为频移分量幅值,Ωi为频移分量的频率,φi为频移分量的初始相位,s1(t)为经管壁、衬里等非运动介质耦合到接收探头的信号。
多普勒信号解调的目的在于提取频移信息,理想的解调应当取得正比于
![]()
的输出。目前常用的解调方法有振幅检波、鉴频、鉴相及乘法器检波等四种,但由于s(t)受多普勒频移成分的非线性调制,振幅检波、鉴相检波两种解调方式将产生失真,鉴频检波输出的电压幅值中将包含与频移Ωi成正比的量,也不可取。乘法器检波用参考信号cosω0t与接收信号s(t)相乘,再用低通滤波器滤除高频分量,得到输出:

这种方法得到的输出没有引起失真,因此在传统的工业管道超声多普勒流量计中得到了广泛的使用。
1.2.3流速方向信息提取
现有工业管道超声多普勒流量计均不能判断流速的方向,在医学血流测量领域,流速方向信息的提取主要有时域法、频域法和相域法,分别介绍如下:
(1)时域法
基本原理是将接收到的超声多普勒信号s(t)同时送入两个乘法器,分别与有一定相位差β0的两个同频信号cosωot和cos(ω0t +β0)相乘,再低通滤波除去高频分量,于是得到第一路的输出为:

第二路的输出为:

若血流方向为正,则Ωi》0 ,第一路输出的相位超前第二路输出的相位;若血流方向为负,则Ωi《0,第二路输出的相位超前第一路输出的相位。因此比较两路输出在时间上的先后就可以检测出血流的方向信息。