随着现代
工业对精密化、高速化、高性能的要求的不断发展,传统的
控制器在高要求的场合已经不能够胜任,在很多要求高实时性,高效率的场合,就必须要用专门的
数字信号处理器(
DSP)来代替传统的控制器的部分功能。特别是在控制
算法复杂或对算法进行改进优化的时候,DSP独特的快速计算的能力就明显的体现出来。
另外,随着
集成电路制造技术的进步和
电力电子技术的发展,
交流伺服也得到了长足的发展。集三相
逆变器和
保护电路、隔离电路、能耗制动电路等功能为一体的
智能功率模块、先进的电力电子器件的出现、使交流伺服控制更方便、功耗更低、开关时间更短、变频范围更宽、性能更优越。这些都使交流伺服相对直流伺服体现出了明显的优越性。
1 系统概述
交流伺服数字化系统的
硬件由DSP作为
信号处理器,用旋转
编码器和
电流传感器提供反馈信号,智能功率模块IPM作为逆变器,经传感器出来的信号经过滤波整形等处理后反馈给DSP进行运算,DSP经过对参考信号和反馈信号的处理运算来调节伺服系统的电流环,速度环,和位置环的控制,最后输出PWM信号经过隔离驱动IPM模块实现
电机的伺服闭环控制。系统的硬件结构如图1所示。

图1硬件结构图
系统的控制为三环控制方式,位置控制是外环,也是最终目标,速度控制是中环,电流控制是内环。为了保证动态响应速度和定位时不产生震荡,电流环和速度环均采用
PID调节,位置调节器采用PI调节。系统的控制框图如图2:

图2控制系统框图
编码器
检测的转子位置实际信号与系统给定位置信号进行比较,比较后的差值经位置调节器PI调节后输出转子转速给定信号,给定转速信号再与编码器检测的实际速度信号进行比较,比较后的差值经速度调节器调节后,输出给定电流指令值,在于电流反馈实际值比较后进行PWM控制。
2 矢量控制
在同步电机中,励磁磁场与电枢磁通势间的空间角度不是固定的,因此调节电枢电流就不能直接控制电磁转矩。通过电机的外部控制系统,对电枢磁通势相对励磁磁场进行空间定向控制,控制两者之间的角度保持固定值,同时对电枢电流的幅值也进行控制,这种控制方式就称为矢量控制。
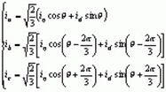
矢量控制也就是通过控制两相的转子参考坐标d-q轴的电流来等效控制电枢的三相电流。通过前面的系统控制框图可以清楚理解这种等效,可以用下面的公式表示:
(1)
由电机非负载轴端安装的编码器随时检测转子磁极位置,不断的取得位置角
信息,通过检测实时的知道了θ,也就是说能够进行实时的坐标变化,变换后的电流对逆变器进行控制,产生PWM波形去控制电机。
3 位置及速度的检测
交流
伺服电机内装有编码器进行位置及速度的测量,大多数情况下,直接从编码器出来的信号波形不规则,还不能直接用于控制,信号处理和远距离传输,所以要对信号进行整形和滤波变成矩形波后再反馈给DSP,处理后的两路相互正交的编码器信号A、B经过电压变换直接送入DSP的QEP引脚,经译码逻辑单元产生转向信号和4倍频的脉冲信号。转向信号是根据两路信号的相位超前滞后决定的。由于存在正反转的问题,要求计数器具有可逆性,所以把通用
定时器2设置为定向增减计数模式,把倍频后的正交编码脉冲作为定时器2的输入
时钟进行计数,计数的方向由转向信号决定,如果QEP1的输入相位超前,则增计数,反之则减计数。位置和转速由脉冲数和脉冲频率就可以决定。每转的总脉冲数用M表示,T1时刻的脉冲数为m1,则电机转过的角度就可以根据下式计算出来。
(2)
如果是多转的情况下,再配合编码器的Z相零位脉冲的计数值和相应定时器2的清零,就可以知道电机轴转了多少圈多少角度了。电机转子转速的计算可以根据MT测速法,确定编码器的速度公式如下:
(3)
M1—定时间内计数器记录的编码器脉冲数;
M2—定时间内记录的DSP的时钟脉冲数;
N—编码器线数,也就是倍频前的编码器的脉冲数;
Fclk—DSP的时钟脉冲频率。
4 结语
综上所述,本文研究的数字交流伺服
驱动器,实行了模块化设计,硬件结构简单,软件
编程容易。可以轻松实现PC机或者
PLC与控制器的
通信,这样就实现了
上位机能够接受控制系统的实时
参数和向伺服控制系统传递参数,对伺服系统进行直接的控制。