简介有些应用需要稳定的输出电压,该电压可能高于也可能低于输入电压范围。 这是常见于输入电压随时间而变化的电池
供电的系统。
常规的方法包括增加电池电压然后将其降低到所需的值。 这样可从电池获取稳定电压,而不论电池的原始电平如何。
不过,此类方法存在一些缺陷: 增加元件数量和空间、提高成本、降低可靠性并且降低功率传递的效率。 在本文中,我们将向您介绍从各种电压输入源获得稳定电压的更好方法。
能够执行所需功能的一种
转换器是非绝缘 SE
PIC,它是单端初级电感转换器(Single-Ended Primary Inductance Conver
ter)的首字母缩略词。 这种转换器能够,降低或增加输入电压。
本文概要介绍基于美国国家
半导体公司 LM2623 比率自适应门控
振荡器的稳压器控制的 SEPIC 电路的操作。
SEPIC 电路: 操作原理开关直流/直流转换器中的所有
电感器和
电容器波形有直流分量和少量非所要求的交流分量组成,是因开关谐波不完全衰减造成的:
其中X(t)可以是电感器或
电容器的
电流或电压。 但是,输出开关纹波, 以及电感器和电容器纹波波形,在任何精心设计的转换器中应足够的小,因为产生直流输出是其主要目的。 因此,在原理上对开关纹波的量值比直流分量小得多的假定是正确的。
在该转换器中提供的一般波形的输出近似以下表示:
这就是所谓的小纹波近似。
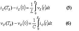
电感器和电容器的定义关系:

让我们在开关周期 内积分:
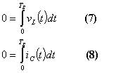
在稳定状态下,电感器电流和电容器电压在一个开关周期内的净变化必须为零,因此[等式 5] 和[等式 6] 变为:
通过将[等式 7] 和[等式 8] 的两端除以开关周期获得等效形式:
这表明,在平衡状态下,平均电感器电压和电容器电流必须具有零直流分量。
这可以直观地进行解释。 如果将直流电压加于电感器,则流量将持续增加,并且电感器电流将无限增加。 同样,如果将直流电加于电感器上,则电容器将持续充电,并且它的电压将无限增加。
等式[等式 9] 和[等式 10] 称为电感器伏-秒平衡和电容器电荷平衡原理。
到目前为止所推出的原理,班现在应用于推导 SEPIC 电路电感器电流和电容器电压的稳态直流分量。 还找到电压和电流纹波的量值。 我们将假定所有元件均是理想的;寄生元件,例如,功率损耗的来源是忽被略的。
在图 1 中以图解的形式说明了使用一个开关和一个
二极管的 SEPIC 电路的实际情况。
|
 图 1: SEPIC 电路。
|
此转换器利用四个动态能量存储元件:L1 、L2 、C1 和 Cout。
SEPIC 电路的行为强烈依赖于电感器中电流以及电容器中电压的连续性。 由于存在许多不同的操作模式,因此决定了电感器电流和电容器电压是连续还是不连续。 尽管所有的模式均可能存在,但常见的操作模式是C1上的电压连续,而L1和L2是连续传导, 或断续传导。 在本文中,我们将提到电感器中的电流从不为零的案例: 这种操作模式称为连续传导模式 (CCM)。 CCM 产生较小的电流纹波,这暗含着在电路的无源元件上存在较低的应力,并且存在较低的电磁干扰。
正如图 2a 中所描述的那样,关闭开关时,能量从输入源传递到L1,并从C1传递到 。 在此时间内,C2向负载提供必要的能量。 当最终打开开关时,如图 2b,L1和L2中存储的能量通过二极管释放给C1、C2 、 和负载。
|

 图 2: 开关闭合 (a) 和开启 (b) 时的能流
|
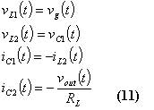
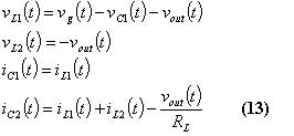
当开关闭合时(图 2a),极性随意定义的电感器电压和电容器电流如下:
根据小纹波近似,我们假定与相应的直流分量Vg、Vc1 、IL2 和Vout 相比,vg、vc1 、iL2 和vouy 的开关纹波量值较小。
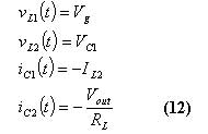
当开关开启时(图 2b),电感器电压和电容器电流变为:
[等式 13] 的小纹波近似输出:
在图 3 中以图解方式说明了基于[等式 12] 和[等式 14] 的电感器电压和电容器电流波形。
|
 图 3: SEPIC 电路波形。
|
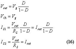
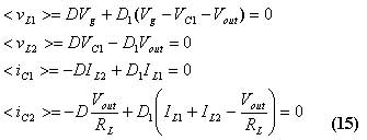
我们现在将图 3 波形的直流分量或平均值设为零,以便在转换器中找到稳态条件:
其中, 代表开关的工作周期, 是工作周期的补量,定义为 。 此等式系统的解答可表示如下:
为了完成我们的稳态分析,我们将估计电感器电流和电容器电压的开关纹波量值。 在图 4 中对这些进行了描述。
|
 图 4: SEPIC 纹波波形。
|
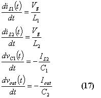
可以在第一个子区间中通过分析推导波形的范围:
由于我们知道第一个区间的长度和稳态中的波形与它们平均值相对称,因此我们可以计算纹波量值:
这些表达式可用于选择L1 、L2 、C1 和C2 的值,以便获取开关纹波量值的所需值。
比率自适应门控振荡器稳压器美国国家半导体公司的 LM2623 是一款
开关稳压器,它包括低端 NMOS 开关,并且设计用于直流/直流转换器,例如,升压转换器和 SEPIC。
正如图 5 中所描述的那样,稳压器的控制模式由启用振荡器的滞后
比较器组成,它能够驱动开关。
|
 图 5: LM2623 方框图。
|
可以参考图 6 理解器件的基本操作。
|
 图 6: 理想的稳压器波形。
|
工作周期取决于由R5 和C3 组成的外部无源
网络。 如果R5 和C3 保持断开,则默认工作周期大约为 17%。 通过工作周期设置值为超过应用所需的最大值来实现。 系统开关持续,直到输出电压到达上限,当输出到达下限之后系统开关重新开始。 此类操作模式采取所谓的脉冲频率调制技术。 每个开关周期当电流流经电感器时,电感器每个开关周期存储更多的能量。 当到达电压上限时,输出电压通常超过所需电压,因为电感器中存储的能量正在传递给输出。 当系统再次开始开关时,输出电压也将下冲,因为电感器中的能量需要还原。 大输出电容器和小电感器在这些情况下将减少纹波。 结果系统中产生的开关频率不是振荡器频率,而是由负载和输入/输出电压确定的较低频率。 这种操作模式在负载大幅变化的应用中非常有用。
输出电压通过
电阻器RF1 和PF2 然后从而设置输出电压。 电容器CF1 将纹波从输出直接注入比较器。 这样一旦到达电压极限,便触发比较器,从而最小化输出超载和欠载。
如果负载在各种范围内不变化,则可以使用 LM2623 的比率自适应功能实现所谓的周期到周期 PFM 操作模式。 此技术用于将转换器的工作周期与输入到输出电压比率所需的工作周期相匹配。 动态调整工作周期,以便考虑输出到输入比率变化。 这样,电感器中存储的大多数能量在每个开关周期内传递到负载。 通过在每个开关周期内调整接通和断开的时间来实现调制,以便满足负载的电流要求。 电感器中的电流绝不会进入零,就如,各种负载变化在滞后操作模式电路中,或工作周期时,输入到输出电压比率不匹配。 结果,与滞后操作模式相比,输出纹波要低得多。 图 7 中显示了经过简化的比率自适应控制模式方框图。为简化起见,我们假定要在转换器块中包括开关。
|
 图 7: 比率自适应控制模式方框图。
|
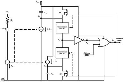
可以通过分析图 8 中所示的振荡器的体系结构来理解工作周期调制机制。
|
 图 8: LM2623 振荡器电路。
|
让我们假定器件已启用,并且节点 A 开始时非常高,这表示开关处于开启状态。 在这种状态下,节点 D 和 E 分别位于高和低状态,Coff 通过 N2 放电,P1 和 P2 断开,N1 处于接通状态,并且将节点 D 连接至节点 B。 VB=VD呈线性下降,在
Iosc 给定的时间常量和Con 的大小下,在 NOT 门开关之前,节点 A、D 和 E 分别变为低、低和高。 在此新状态下,开关断开, 通过 P1 放电,N1 和 N2 断开,而 P2 接通,并且将节点 D 连接至节点 C。Vc=VD 呈线性增加,在Iosc 确定的时间常量以及Coff的大小下,在 NOT 门开关之前,节点 A 再一次变高。
开关频率由Iosc确定,它是从恒定
电流源镜像的电流,它的电流由Vg和R3 以及两个电容器的大小设定;如果R5和C3 保持断开,则通过两个电容器Con和Coff 间的比率将工作周期设为 17%。
工作周期调制的理想状态是通过调制流入频率插针的直流电流,在接通时间内减慢振荡器,在断开时间内加速振荡器。 在开关和频率插针之前连接的 和 系列的行为类似直流电来源: 当开关接通时,它从频率插针中排泄电荷,而当开关断开时,它将其它电荷注入同一个插针。 两个方向的电荷传递的时间常量如下:
随着转换器的输入电压下降,交流电荷传递变为振荡器电流的更大百分比;结果是工作周期增加。 通过为 τ 选择相应的值,电荷传递量增加,因为振荡器因输入下降而减慢。
下面简要描述为频率和工作周期调制选择外部组件的经验性方法。
VgR3为振荡器提供直流驱动电流: 当
电阻阻值较低时,频率增加,当输入电压值较低时,频率下降。 在最低值R5时的Vg设置为零,C3增加,直到获得调制。 C3确定最大电荷传递量;较小的R3值需要较大的 值(大于交流电荷传递),以便实现相同的工作周期调制百分比。然后R5增加,直到工作周期匹配输入至输出比率。 此时,Vg增加到它的最大值。 如果工作周期不足够下降,则R5将增加,直到工作周期匹配输入到输出比率。 输入再次下降到它的最小值,并且如果工作周期不足够的高,则C3下降。 此过程将重复,直到时间常量 τ 允许工作周期在整个输入电压范围内相应的变化。
LM2623 的 SEPIC 设计示例在本节中,我们介绍周期到周期 PFM 调制模式的 SEPIC 设计示例,具有以下规范:
标称最大和最小工作周期如下:
外部无源网络的分量等于:
这些分量设置介于 1.6MHz 和 1.8MHz 之间的开关频率,并且允许工作周期在最小和最大所需值之间变化。
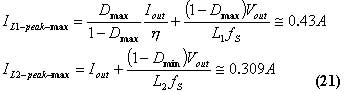
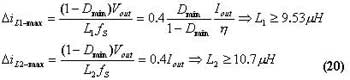
SEPIC 中的电感器大小通常选定为限制流入它们的峰值到峰值纹波电流,并且维护持续的传导模式。 最好选用后者,因为它导致较低的电磁干扰。 最大电流纹波通常设置介于流经每个电感器的平均电流的 30% 和 50% 之间。 作为起点,我们选择 40% 的值来估计电感的值:
其中η是正确的因素,因寄生效应将考虑功率损耗。
我们选择L1=L2=15UH,它可以处理下列最大峰值电流:
此应用中开关的最大电压和电流应力如下:
L
M2623 内的开关分别具有 2.2A 的最低电流极限和 14V 的最大电压能力。
当开关关闭时输出二极管开启,并且提供电感器电流的路径。 选择整流器二极管的重要标准包括: 开关迅速、击穿电压、额定电流和较低的正向电压降,以最小化功率消耗。 最佳的解决方案是
肖特基二极管。 击穿电压必须大于最大输入电压和输出电压,并且应为顺态和尖峰添加一些容限。 额定电流至少应等于这两个电感器中最大峰值电流的和: 通常,额定电流将比较高,因为功耗和结温限制支配着器件的选择。 对于我们的示例,我们选择额定电流为 3A,击穿电压为 40V 的肖特基二极管。
电容器的功能是在它们的电场中存储能量;因此,从质量方面看,电容器的功能是尝试保持恒定电压。 SEPIC 电容器C1在开关时间内为电感器L2提供能量。 假定最大电压降为5%,则C1的计算值等于:
所选的电容器必须能够处理
rms 纹波电流:
最后,我们分别为C2和Cin 选择
钽电容器100UF 和22UF 陶瓷电容器。
两个电容器的 rms 电流能量必须等于:
有时候并行放置输出电容器 陶瓷电容器非常有用,可以旁通高频谐波。
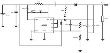
图 9 中显示了整个电路;图 10-13 显示了两个电感器在不同输入电压下的实验性电流波形。
|
 图 9: LM2623 的 SEPIC 电路。
|
图 10: Vg=3.0V 时 L1 开关信号的电流波形。 1) VSW, 2V/div,
DC; 2) 电感器电流,100mA/div, DC; T= ns/div
图 11: Vg=3.0V 时 L2 开关信号的电流波形。 1) VSW, 2V/div, DC; 2) 电感器电流,100mA/div, DC; T= ns/div
图 12: Vg=4.2V 时 L1 开关信号的电流波形。 1) VSW, 2V/div, DC; 2) 电感器电流,100mA/div, DC; T= ns/div
图 13: Vg=4.2V 时 L2 开关信号的电流波形。 1) VSW, 2V/div, DC; 2) 电感器电流,100mA/div, DC; T= ns/div
结论
尽管 SEPIC 拓扑结构比其它拓扑结构在开关和二极管上设置更高的应力,但无需使用变压器实现电压转换,而是通过成本较低的电感器。 此类转换器在需要真正停机的升压应用中也非常有用,因为通过藕合电容器对输入和输出电压进行直流绝缘。
提供了美国国家半导体公司的 LM2623 稳压器的 SEPIC 设计示例。 如果负载在一段范围内不变化,可以通过外部分量修复开关频率并允许工作周期随输入变化而变化。 这样,转换器的行为类似于典型的 PWM 调制转换器,该转换器的差别就是无需任何补偿,因为 PFM 体系结构非常稳定。