时间:2009-12-02 09:35
人气:
作者:admin
基于矢量控制的永磁同步电机调速系统研究
近年来,随着电力电子技术、微电子技术、新型电机控制理论和稀土永磁材料的快速发展,永磁同步电机得以迅速推广应用。永磁同步电机具有体积小、损耗低、效率高等优点,在节约能源和环境保护日益受到重视的今天,对它的研究就显得更有必要。
1 永磁同步电机的数学模型
为了便于分析,在建立数学模型时常忽略一些影响较小的参数,做如下假设:
(1)忽略电动机铁心的饱和;
(2)不计电动机中的涡流和磁滞损耗;
(3)定子和转子磁动势所产生的磁场沿定子内圆是按正弦分布的,即忽略磁场中的所有空间谐波;
(4)各相绕组对称,即各相绕组的匝数和电阻相同,各相轴线相互位移同样的电角度。
在分析同步电机的数学模型时,常采用坐标变换的方式,常用的坐标系有两相同步旋转坐标系为dq坐标系和两相静止坐标系为αβ坐标系。故可以得到永磁同步电动机在幽旋转坐标系下(见图1)的数学模型为:
若电机为隐极电机,即Ld=Lq,选取定子电流id,iq及电机机械角速度ω为状态变量,可以得到永磁同步电机的状态方程如下式所示:

从上式中可以发现,三相永磁同步电机是一个多变量系统,而且id,iq,ω之间存在着非线性耦合关系,要想实现对三相永磁同步电机的高性能控制,是一个颇具挑战性的课题。
2 永磁同步电机矢量控制
高性能的交流调速系统需要现代控制理论的支撑,对于交流电机,目前使用最广泛、并已经在实际系统中应用的当属矢量控制理论。1971年,由F.Blaschke教授提出的矢量控制理论,矢量控制基本原理是:以转子磁链这一旋转空间矢量为参考坐标,将定子电流分解为相互正交的2个分量,一个与磁链同方向,代表定子电流励磁分量,另一个与磁链方向正交,代表定子电流转矩分量,然后分别对其进行独立控制,获得像直流电机一样良好的动态特性。永磁同步电机数学模型经过坐标变换后,id,iq之间仍存在着耦合,不能实现对id和iq的独立调节。如果要获得永磁同步电机良好的动、静态性能,就必须解决id,iq电流的解耦问题。如能控制id=0,则永磁同步电机的状态方程式可以简化为:

此时id,iq无耦合关系,Te=npψfiq,可以通过独立调节iq实现转矩的线性化控制。
3 基于PI控制的永磁同步电机算法
在Matlab/Simulink中搭建了采用PI控制的永磁同步电机交流调速系统的仿真模型,进行仿真研究,电流环、速度环均采用工程领域广泛使用的PI控制,来验证系统采用PI控制的效果,仿真原理图如图2所示。

仿真中采用的永磁同步电机参数如下:RS=1.9 Ω,Ld=Lq=0.01 H,转子永磁磁链ψf=0.353 Wb,转动惯量J=7.24×10-4kg·m2,额定转速为3 000 r/min,额定转矩为4 N·m,额定电流为3.3 A。
首先,考查PI控制器中增益P对系统性能的影响。在PI控制器中,我们固定积分增益K1=10,比例增益Kp=2,4,6变化时,分别测试电机在给定速度为1 000 r/min下的动态曲线,得出对比效果见图3,图4。

从图3,4中可见,随着比例增益KP的增加,系统的超调加大,出现了静差,但是系统的抗扰动能力得到了增强。
接着,我们考查积分变化对于系统性能的影响。PI控制器中,我们固定比例增益KP=5,积分增益K1=5,20,30变化时,分别测试电机在给定速度为1 000 r/min下的动态曲线,得出对比效果如图5,图6所示。
由图5,图6可知,积分增益K1的加大,有利于消除系统静差,减小恢复时间,对于系统的抗扰动能力改善有限,且会增加系统的超调。
从仿真结果可见:PI控制器的参数对系统的性能有极大的影响,实际应用时需要调出一组性能良好的参数,尤其是对于采用PI控制器的交流调速系统,它在不同的环境下需要调节不同的PI参数。因此掌握PI控制器的参数调节规律比较重要。但众所周知,永磁同步电机是一个具有强耦合的非线性对象,很难用精确的数学模型描述,并且电机的应用环境一般较为复杂且常常存在各种干扰,电机参数在电机运行过程中会发生变化。而PI控制器是一种线性控制器,鲁棒性不够强,具有对负载变化适应能力差,抗干扰能力弱和控制性能容易受模型参数变化影响等弱点。因此,PI控制器应用在交流电机调速中会由于自身的特点而存在一些不足,例如:PI控制器参数所能适用的控制对象范围不够大,在某一状态下整定为最优的PI参数在另外一种状态下不一定是最好的;同一个PI参数一般难以适用于不同的电机转速,对于不同的转速范围,PI参数需要分别调节,这就增加了现场调试的难度。
4 基于扩张状态观测器的永磁同步电机算法
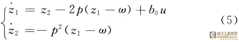
永磁同步电机受电机参数变化(如电阻、电感、惯量以及磁链的变化)、外部负载扰动和非线性等因素的影响,基于精确电机模型的解耦很难实现,经典PI控制很难克服这些不良因素的影响,无法取得令人满意的控制效果。文献[10,11]中将扩张状态观测器应用于自抗扰控制器的设计,获得了较好的控制效果,但是这个控制器有多个可调参数,这给工业应用时参数调试工作带来了困难。为了简化控制器设计,减少可调参数,在此采用线性的扩张状态观测器对电机模型的状态和扰动进行观测,使得控制器设计更简单,需调节的参数更少。根据永磁同步电机的一阶微分方程模型,结合扩张状态观测器的设计方法,进行了控制器的设计。

由式(4)可知,负载转矩、摩擦系数、惯量的扰动以及由于b0估计误差所造成的扰动都可以在a(t)中反映出来。如果能对a(t)进行观测并予以补偿,则可以显著的提高系统的抗扰动能力。控制器结构图如7所示。
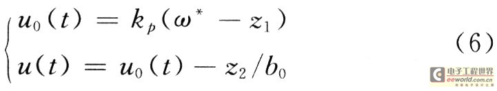
于是得到的基于扩张状态观测器的比例控制器的表达式如下:
(1)ESO:
(2)控制律:
根据理论分析,ESO的观测效果取决于极点-p(p>0)。-p(p>0)和ESO的跟踪速度有关,p越大,ESO跟踪输出信号响应就越快,即z1对速度ω的响应就越快。比例增益通常应取得较大,但Kp过大会使速度响应震荡,造成系统的不稳定。
提出的基于扩张状态观测器的控制算法,对于系统的扰动有很好的观测和抑制作用,理论上优于PI的控制方法。这里在Matlab下进行了仿真验证,在给定速度为1 000 r/min的情况下,将PI,PESO分别调节到最优的控制效果,得出了转速响应的对比曲线如图8,图9所示。

采用基于扩张状态观测器的永磁同步电机控制算法,通过和PI算法的比较,克服了PI算法无法解决快速性和超调之间的矛盾,同一个PI参数不能适应不同的电机转速范围,Pl参数需要分别调节的缺点。仿真结果验证了PESO具有更快的响应速度,而且当系统有扰动时能更好地抑制住系统的扰动,很快恢复到给定转速,具有较强的抗扰动的能力,控制性能明显优于PI控制。
5 结 语
在矢量控制技术应用于永磁同步电机的调速系统中,首先提出一种基于PI控制的永磁同步电机算法,该算法虽然能够满足永磁同步电机调速系统的基本要求,但存在一些不足;接着提出一种基于扩张状态观测器的永磁同步电机改进算法,该算法能够使永磁同步电机的 调速系统性能获得较好的改进,设计的控制器对电机的 转速具有较快的响应速度、较强的抗扰动能力,取得了 令人满意的控制效果。随着电机制造与控制技术的发展,以及电力电子技术和微电子技术的进一步发展,新的非线性控制策略在改善永磁同步电动机交流调速系 统的性能方面将有着很好的发展前景。