时间:2023-05-23 15:18
人气:
作者:admin
概述
冰箱制冷系统中最重要的部件是压缩机。它从吸气管吸入低温低压的制冷剂气体,通过电机运转带动活塞对其进行压缩后,向排气管排出高温高压的制冷剂气体,为整个制冷循环提供源动力。这样就实现了压缩→冷凝→膨胀→蒸发 ( 吸热 ) 的制冷循环。一般来说,压缩机由壳体、电动机、缸体、活塞、控制设备 ( 启动器和热保护器 ) 及冷却系统组成。

与普通冰箱相比,变频冰箱最显著的优点是提高制冷效率、节约电力、节约能源。另外,在能快速冷却的同时,还能保持温度波动范围较小,从而达到较好的冷藏保湿效果。压缩机转速的精准控制,压缩机无需频繁启停,噪音更小更安静。本文讨论了基于上海航芯ACM32G103的冰箱压缩机变频方案。
ACM32G103系列芯片规格介绍
• 采用M33内核,主频最高可达120MHz
• eFlash:320KB,加密存储,4KB I-Cache,4KB D-Cache,支持Flash加速0等待执行
• SRAM:64KB,其中后8KB在STOP2低功耗模式下可保持数据
• 2路12bits ADC,共19个外部通道,最高速率达3Msps,支持同步模式、加速采样、差分采样以及AUTO等功能
• 2个16位高级定时器,支持PWM输出/(6路)互补输出/死去插入/刹车/编码模式
• 通信接口丰富:4路UART、1路LPUART、3路SPI、2路I2C、2路I2S、2路CAN
• 封装类型丰富:QFN32/QFN48/LQFP48/LQFP64(7X7)/LQFP64(10X10)/LQFP100
• ESD:4KV(HBM)
• 工作温度:-40°C~85°C
冰箱压缩机变频方案

注:ACM32G103系列支持OPA内部连接COMP和ADC
航芯冰箱压缩机变频方案以ACM32G103为主控,主要电力来源自电源转换,采用磁链观测器方式支持闭环全负载启动。
变频方案电机矢量控制
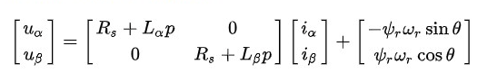
整个系统为闭环控制,内环为电流控制环路,外环为速度控制环路,电机本体方程如下:


FOC算法实现介绍
FOC算法基于磁链观测器
基于α-β坐标系下的PMSM数学模型如下:

α-β坐标系下电感表示如下:

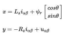
对于SPM,数学模型可以简化为:

定义状态变量:

状态变量 y 实质就是反电势,对反电势积分可以得到磁链,那么对磁链的状态变量x微分则得到反电势。关系式如下:

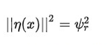
为了构建非线性观测器,定义矢量函数:

矢量函数的模实质就是磁链幅值:

在对反电势进行积分获得磁链的过程中,最担心的就是直流偏置或积分漂移,常用高通滤波器、自适应补偿等方式来抑制这种负面因素。非线性模块的思路就是把估算的磁链的幅值与实际磁链幅值的差,作为估算的磁链分量的补偿项。关系式如下:

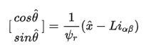
完成状态变量的观测器之后,就得到了磁链分量,改写如下:

通过观测的磁链分量就得到了观测的角度。

通过锁相环就可以得到速度和角度。
同时本算法为克服传统转速环系统跟随性差,动态响应场合差等问题,同时提出了自扰抗ADRC系统,如图所示。

传统转速环,在负载变化时或者调速时过冲严重,转速跟随性能差。ADRC系统转速跟随性能好,在动态负载场合好用。
结语
ACM32G103主频高,支持浮点运算和DSP,内置CORDIC,可以轻松实现上述的SVPWM产生器,Park/Clark变换,PI控制器,以及转子位置观测器。MCU内置的高速12位逼近型ADC和多级中断系统可以确保闭环控制的实时性。
冰箱压缩机变频技术,能避免无谓的能量消耗,省电节能;冰箱全天工作,采用变频技术后,压缩机始终处在低速运行状态,可以彻底消除因压缩机启动引起的噪声;变频技术控温精准、温度连续可调,变频冰箱对食材的保鲜效果更好。优势突出,变频冰箱市场普及率还远未达到行业预期,这片市场大有可为。