阅读全文2017-02-16
阅读全文2017-02-16
阅读全文2017-02-16
米尔科技推出一款专为TI AM437X PRU功能而设计的开
阅读全文2017-02-16
TI推出业界性能领先的12V, 10A DC/DC降压电源解决方
阅读全文2017-02-15
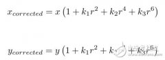
基于Dragonboard 410c平台的机器3D视觉——如何标定
阅读全文2017-02-15
阅读全文2017-02-14
阅读全文2017-02-14
自助服务应用专属研华AIMB-505 Micro-ATX主板搭载第
阅读全文2017-02-14
阅读全文2017-02-14