时间:2023-03-20 10:49
人气:
作者:admin
近日,中国科学技术大学郭光灿院士团队在实用化量子传感研究中取得重要进展。孙方稳教授研究组利用微纳量子传感与电磁场在深亚波长的局域增强,研究微波信号的探测与无线电测距,实现10-4波长精度的定位。该成果于3月9日发表在国际知名期刊《自然·通讯》上。


基于微波信号测量的雷达定位技术在自动驾驶、智能生产、健康检测、地质勘探等活动中得到广泛应用。尤其在当前智能化、信息化发展大趋势下,发展高性能雷达测距技术对国防安全和经济发展都方面有重要意义。
量子信息技术的发展为发展雷达技术提供了新的解决方案。量子传感和精密测量利用量子相干、关联等特性提升系统对物理量的测量灵敏度,有望超越传统测量手段的精度。
孙方稳研究组面向量子信息技术实用化,长期研究固态自旋体系的量子传感技术。发展了电荷态耗尽纳米成像方法,实现基于金刚石氮-空位色心的超衍射极限分辨力电磁场矢量传感与成像(Phys. Rev. Applied 12, 044039(2019)),并利用超分辨量子传感探索了电磁场在10-6波长空间内局域增强的现象(Nat. Commun. 12, 6389(2021))。

在本研究中,研究组结合微纳米分辨力的固态体系量子传感与电磁场的深亚波长局域,发展高灵敏度微波探测和高精度微波定位技术。

基于固态自旋量子体系的射频信号探测与测距示意图

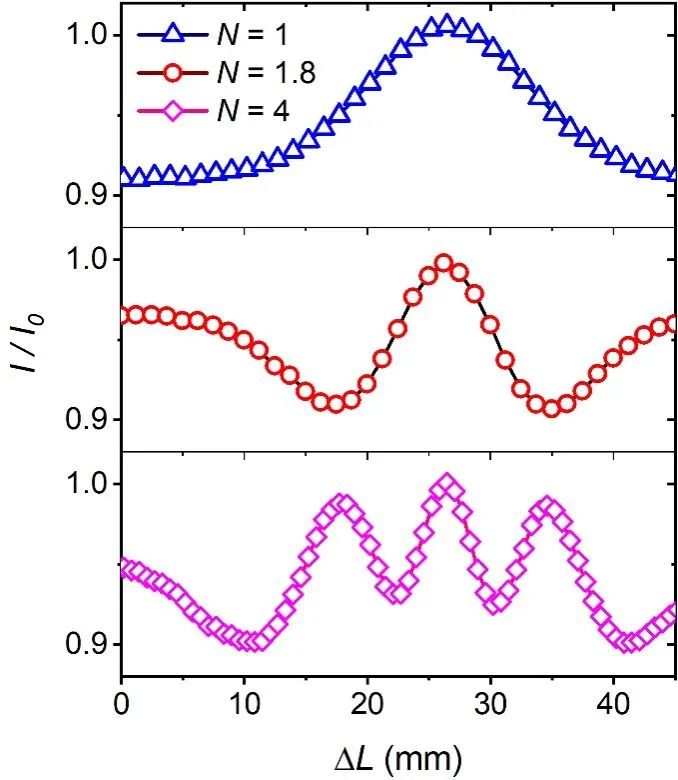
固态自旋对物体位置测量的结果
研究组设计了金刚石自旋量子传感器与金属纳米结构组成的复合微波天线,将自由空间传播的微波信号收集并汇聚到纳米空间,从而通过探测局域的固态量子探针状态对微波信号进行测量。该方法将自由空间弱信号的探测转换为对纳米尺度下电磁场与固态自旋相互作用的探测,提高了固态量子传感器的微波信号测量灵敏度3-4个量级。
为了进一步利用高灵敏度的微波探测实现高精度微波定位,研究组搭建了基于金刚石量子传感器的微波干涉测量装置,通过固态自旋探测物体反射微波信号与参考信号的干涉结果,得到物体反射微波信号的相位以及物体的位置信息。同时,研究组利用固态自旋量子探针与微波光子多次相干相互作用,实现了量子增强的位置测量精度,达到10微米水平(约波长的万分之一)。
审稿人认为该工作是金刚石量子传感器在量子测距中的首次应用(…To my knowledge, this is a first demonstration of quantum ranging platform, based on NV center…)。
与传统雷达系统相比,该量子测量方法无需检测端的放大器等有源器件,降低了电子噪声等因素对测量极限的影响。通过后续的研究,将可以进一步提高基于固态自旋量子传感的无线电定位精度、采样率等指标,发展实用化固态量子雷达定位技术,超过现有雷达的性能水平。
审核编辑 :李倩