时间:2023-02-02 15:59
人气:
作者:admin
ADXL150和ADXL250是ADI公司最新一代的表面微加工单芯片加速度计。与具有里程碑意义的ADXL50一样,新器件包括信号调理电路和传感器,它们在单个单芯片上共同制造,以极低的成本和高可靠性提供加速度测量。与ADXL50一样,传感器结构为差分电容,但经过修改以利用生产数百万个ADXL50的经验,进一步推进微机械传感器设计的最新技术。
传感器:图1中的轮廓比较了ADXL50和ADXL150中使用的传感器。两个传感器在可移动中心构件的每一侧都有许多手指;它们构成一组并联差分电容器的中心板。连接到基板上的固定手指对与光束手指交错以形成外部电容器板。横梁由系绳支撑,系绳用作机械弹簧。移动板上的电压通过支撑梁的导电系绳锚读取。


图1.ADXL50(顶部)和ADXL150(底部)的轮廓图。运动轴是垂直的。
多晶硅支撑弹簧(系绳)非常可靠。许多设备已经通过以相当于 250 倍重力偏转光束>进行了测试,> 7x1010循环,零故障,作为产品认证过程的一部分。
ADXL50的系绳以“H”形配置从光束中直接伸出。然而,在ADXL150上,系绳被折叠,从而减小了传感器的尺寸,并将锚点数量减半(图2)。由于每个锚点都会增加寄生电容,因此较少的锚点数量可降低容性负载,从而提高传感器的加速灵敏度。此外,系绳几何形状最大限度地减少了对机械模具应力的敏感性;这使得ADXL150可以采用标准Cerdip和表面贴装CERPAK封装,与金属罐相比,这些封装需要更高的密封温度(和相关热应力)。折叠系线首先用于低g加速度计ADXL05;其更高的灵敏度使模具应力更加受到关注。

图2.ADXL150传感器一端的部分航拍SEM视图。
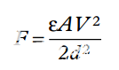
除了从光束两侧伸出的感应指外,ADXL150还有12个力指(在光束两端附近可见),用于自检致动。平行板电容器的极板以以下静电力相互吸引:

其中ε是板之间材料的介电常数,A是板的面积,V是电容器两端的电压,d是板之间的距离。
在正常操作中,力指两侧的固定手指与光束及其手指处于相同的电压电位。在光束上的力指和基板上的固定指之间没有电压的情况下,没有静电力。但是,当激活数字自检输入引脚时,力部分一侧的固定手指被驱动到非零直流电压,对感应手指施加力,使光束偏转。强制电压经过激光调整,以在光束上产生相当于 10 g 加速度的净静电力。该电压将取决于每个单独设备的特定电气和机械特性。
自检电路独立于正常加速度计信号路径工作。当自检被激活时,设备以与加速整个设备产生的挠度相同的方式测量它产生的偏转。由于传感器的满量程偏转仅为电容器手指之间间隙的1.5%左右,因此自检响应几乎是恒定的,增加了任何现有加速度引起的挠度。与外部施加的加速度一样,自检电路产生的偏转充分利用正常工作加速度计的测量电路来生成输出,因此它是设备正常运行能力的高度可靠指标。
电路架构:如图3所示,固定手指由反相方波驱动。ADXL50在激励和光束之间使用直流偏置作为提供力平衡反馈路径的手段,而ADXL150则不同,ADXL100采用开环架构。当光束上的平均直流电压为零时,激励方波可以摆动到电源轨,光束偏置在电源电压的一半。ADXL150中<> kHz激励的幅度越大,对电子设备噪声的灵敏度越低,也是提高噪声性能的一个因素。

图3.ADXL150电气框图
如果光束完全居中,则差分电容器的两侧具有相等的电容,并且光束上的交流电压为零。但是,如果光束由于施加的加速度(或自检偏转)而偏离中心,则差分电容器将变得不平衡。波束波形是一个方波,其振幅与位移量成正比,因此与加速度大小成正比。光束电压相对于激励的相位决定了加速度极性。
波束输出直接连接到同相放大器,该放大器为高阻抗波束节点提供缓冲,并为100 kHz输出信号提供增益。
输出在同步解调器中进行解调,该解调器在激励周期的每一半稳定后对放大器输出进行采样。通过检测放大器在两种状态下的输出电平之间的差异,可以消除放大器的失调电压,就像斩波稳定放大器一样。由于解调器与激励相位同步,因此输出信号极性可以正确指示施加加速度的方向。
ADXL150内置一个增益为2贝塞尔的3极点低通滤波器[ADXL250包括一个用于每个通道的2极点滤波器]。这些滤波器可用于防止解调器输出中的高频分量与相关数据采集电路中的A/D转换器时钟频率混叠。滤波器的第二个输入连接到增益为1/6的电阻分压器,并引出到封装引脚。它为加速度计提供了一个方便的失调调整点,施加电压的净增益为+0.5。
由于广泛使用CMOS逻辑,并且开环架构允许更简单的信号调理电路,因此该器件在1V(包括8极输出滤波器)时仅消耗5.2 mA电源电流,比ADXL80降低>50%。
增加的激励电平以及精心执行的斩波器调制/解调技术使噪声密度仅为1mg/√Hz,不到ADXL1的6/50。改进的动态范围使ADXL150可用于机器健康、振动监控、冲击检测和仪器仪表等应用。
ADXL150的灵敏度为38mV/g,在输出引脚处测量。满量程范围为 ±50 g,总信号摆幅为 3.8 V,采用 5V 单电源供电。这种重要的输出电压范围使设计人员能够充分利用单电源A/D转换器的输入范围,例如微处理器系统中的输入范围。
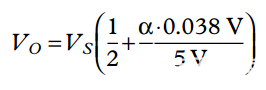
输出电压由以下关系给出:

α 是以 gs (1 g ≈ 9.8 m/s 表示的外加加速度2),和VS是电源和基准电压,标称值为 5 V。如果VS也用作比率式 A/D 转换器的参考,系统将拒绝VS.当施加的加速度为零时,ADXL150的输出为VS/2,这是 A/D 转换器的半量程。便VS不完全是5 V,A/D转换器的数字输出代码仍为半量程。对于任何应用的加速度,A/D 转换器的输出将基本上与VS.
无需外部操作滤波器的失调,该器件可在电源电压的一半处提供一个方便的参考点。可以使用外部运算放大器(图 4),以获得相对于该电压的额外增益,以提高加速度计的灵敏度。该电路中可以使用一个额外的外部电容器,在内部两极滤波器之后添加第三个极点。失调可以通过注入外部放大器的求和节点的电流来调节。

图4.ADXL150内置一个外部运算放大器,可提供额外的增益和滤波功能。
ADXL250增加了一个新的维度:ADXL250是一款单芯片(图5),可测量给定平面(例如,向前-后向和左右)加速度的x和y坐标。由于ADXL150传感器的灵敏轴位于芯片平面内,因此可以在同一芯片上制造双传感器,其中一个传感器与另一个传感器旋转90度。ADXL250是全球首款商用双轴单芯片加速度计。


图5.ADXL250框图(上图)和部分芯片照片,显示芯片平面上直角的传感器(上图)。
两个通道共享时钟发生器、解调器时序、自检逻辑和偏置电压。每个传感器通过自己的CMOS逆变器驱动器接收时钟信号,传感器产生的信号完全独立处理。
单个自检引脚可同时激活两个传感器,从而简化了与微处理器的接口。与ADXL150一样,测试信号使每个传感器偏转的幅度相当于10 g加速度。每个通道都有自己的失调调整引脚和自己的输出电压引脚。两个通道具有相同的灵敏度。
双通道ADXL250的总电源电流典型值为3.5 mA(最大值为5 mA,包括输出滤波器,仅为早期ADXL50典型电源电流的一半)。两款器件均具有 A 和 J 版本,额定温度范围为 40 至 +85°C 和 0 至 +70°C。
如何使用它们?ADXL150是一款完整的片上传感器。只需连接单个 5V 电源(具有干净的输出,由质量不错的陶瓷电容器旁路接地),然后将输出连接到其读出目的地。
如果自检引脚保持开路状态,则内部下拉电阻可确保正常工作。由于没有连接到失调调整引脚,输出电压未被修改。
要调整输出零g电压电平,请使用失调调整引脚。失调可以通过施加模拟直流电压(包括电源电压或地)来调节。计算机控制可以通过多种方式实现,例如,通过串行或并行D/A转换器,或通过R-C平均器的调制占空比。可通过一个三态数字输出位和一个串联电阻器选择三个失调调整值。
安装和机械注意事项
当加速度计安装在印刷电路板上时,IC成为更大的机械系统的一部分。50 g 的加速度会导致传感器在 IC 封装内偏转;此外,PC板及其安装结构会偏转和变形。电路板的运动会产生一个错误的加速度信号,加速度计可以检测到该信号。如果支撑结构的谐振频率在信号频带内或不比滤波器滚降高多少,则PCB板及其安装系统的振动将显示在传感器输出中。
将这些影响降至最低的最佳方法是使安装方案尽可能刚性,从而将系统加速度更忠实地传递到传感器并增加谐振频率。由于印刷电路板在其平面上的硬度比垂直于其表面的硬度高得多,因此加速度计的敏感轴(两个轴,如果是双轴)应该在电路板的平面上。由于ADXL150和ADXL250的敏感轴位于芯片平面内,并且芯片表面平行于封装基极,因此加速度计只需焊接到电路板上即可获得印刷电路板刚度的优势。
如果敏感轴垂直于芯片平面(如一些批量微加工传感器的情况),将封装焊接到电路板上将使测量最容易受到PC板灵活性的影响。直角安装系统可用于使敏感轴平行于印刷电路板,但安装系统本身可能会变形,从而产生错误的加速度读数。安装系统和任何印刷电路板加劲肋都会增加加速度测量的成本。此外,安装系统的额外质量降低了其谐振频率,导致更大的错误加速度信号。
审核编辑:郭婷