时间:2023-02-02 17:51
人气:
作者:admin
高度集成、完全规格的传感器系统,如ADIS16209倾斜传感器(见附录),采用紧凑封装,价格极具吸引力,使系统开发人员能够以最小的投资和风险轻松使用采用他们可能缺乏经验的技术的传感器。由于精度是在给定的功率水平下完全指定的,因此开发人员降低功耗的能力似乎受到限制。然而,在必须严格管理能源使用的应用中,功率循环的使用为降低平均功耗提供了一个机会。本文重点介绍电源循环及其对整体功耗的影响。
我们中的许多人在有慈爱父母的家庭中长大,他们会大喊:“当你离开房间时关灯!我们不拥有电力公司!实际上,他们教给我们一种重要的能量管理技术——功率循环——在不需要时从功能中移除电源的过程,例如在不需要测量时关闭传感器系统。这样可以降低平均功耗,由以下公式量化:

P上是系统在正常工作状态下的功耗。P关闭是系统处于关闭状态的开销。与剩余电流相关,例如在电源稳压器中维持电源开关或关断模式,通常约为1 μA。准时(T上) 是传感器系统打开、生成所需测量值和关闭的时间量。关闭时间 (T关闭) 取决于系统需要传感器测量的频率。如果关断功率远小于导通功率,则平均功耗基本上与占空比成正比。例如,如果关断功率为零,占空比为10%,则平均功耗为正常工作功率的10%。
传感器系统审查
传感器将温度、加速度或应变等物理现象转换为电信号。为了正确使用,传感器元件需要支持功能,例如激励、信号调理、滤波、偏移和增益调整以及温度补偿。先进的传感器产品还包括模数转换,并在单个封装中提供所有这些功能,提供完整的、经过校准的传感器到位功能。通过消除用户开发组件级设计或复杂表征和校正公式的需要,它们能够以更少的投资实现更快的设计周期。虽然高度集成的传感器产品减轻了电路级设计决策的负担,但在考虑电源循环以降低平均功耗时,了解其内部工作原理是有帮助的。
图1显示了与完整传感器系统相关的许多功能。每个传感器元件都需要一个接口电路,以将元件中的物理变化转换为标准信号处理组件可用的电信号。例如,电阻应变计 - 在受到应变变化时经历电阻变化的电阻 - 通常以桥电路(带激励)的形式用于将可变电阻转换为电信号。另一个例子是集成微机电系统(iMEMS)惯性传感器,例如加速度计和陀螺仪。它们的微小结构响应惯性运动变化,板之间的位移变化,从而导致电节点之间的电容变化。可变电容元件的接口电路通常使用调制和解调级的组合来将电容变化转换为电信号。®

图1.传感器系统示例。
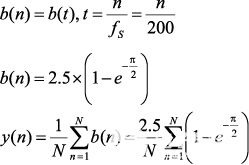
缓冲级为模数转换器(ADC)的输入级准备信号,可以包括电平转换、增益、失调校正、缓冲和滤波。一旦传感器信号被数字化,数字处理功能有助于增加信息的价值。数字滤波h(n)可降低噪声并专注于目标频段。例如,机器健康系统可能使用带通滤波器来关注与常见磨损机制相关的频率特征。其他需要稳定直流基准电压源的传感器可能会更重视低通滤波器。
传感器精度可能因零件群而异。为了收紧误差分布并提高测量确定性,传感器系统通常包括校准过程,该过程在已知激励和条件下表征每个传感器,并提供特定于单元的公式,以校正所有预期工作条件下的输出。最后的处理阶段 f(n) 表示特定的处理,例如,用于将加速度计的静态重力测量值转换为方向角的三角关系。
电源循环注意事项
在评估传感器系统中电源循环的有效性时,设计人员必须确保确定获取有用数据所需的时间。图2显示了典型传感器系统在通电时的响应方式。TM是测量时间和TC是周期时间。测量时间取决于启动时间,T1、建立时间、T2和数据采集时间 T3.
启动时间取决于系统处理器及其为支持传感器数据采样和信号处理操作而必须运行的初始化例程。使用高度集成的传感器系统时,启动时间通常在产品文档中指定。这种类型的产品有时提供休眠模式,以比关断模式更高的断电耗散为代价,提供更快的启动时间。
建立时间可以包括传感器、接口电路、滤波器和物理元件的电气行为,以及热和机械建立时间。在某些情况下,这些瞬态行为在开启时间内稳定,因此它们对整体测量时间的影响很小或没有影响。然而,分析行为的最保守方法是考虑它们以级联方式发生,除非进一步的分析和研究可以支持同时启动和建立的更有利的假设。
数据采集时间取决于需要多少数据样本、系统处理器读取数据的速度以及准备好采集准确数据后处理器多久可用。

图2.电源循环期间的传感器响应。
分析示例
本示例评估完全集成的MEMS倾斜传感器,以确定影响精度和测量时间的参数,以确定重要的功耗与性能关系。以下四个步骤为此过程提供了简单的指南:
了解传感器的工作原理。
从产品文档中捕获相关信息。
估计未直接指定的重要参数。
发展权力与绩效关系。
1. 操作理解
示例倾斜传感器系统与图1中的通用系统非常相似。核心MEMS加速度计包括传感器元件和接口电路。加速度计信号通过单极点低通滤波器,将信号带宽限制为50 Hz。模数转换器以200 SPS的采样率运行,并将其输出馈送到数字处理级。数字处理功能包括平均滤波器、温度驱动器校正公式、用于将静态加速度计读数转换为倾斜角度的数学功能、用户界面寄存器和串行接口。
当加速度计的测量轴垂直于重力时,假设偏差误差为零,其输出将为零。当测量轴平行于重力时,它将产生 +1 g 或 –1 g 的输出,极性取决于其方向。静态加速度测量与倾角之间的关系是一个简单的正弦或切线函数,如图3所示。此分析侧重于水平模式(正弦波)。

图3.MEMS倾斜传感器操作。
2. 从产品资料中获取相关信息
表1概述了影响高级传感器系统功率循环的参数。其中一些参数可在产品数据表中找到,而其他参数则需要针对终端系统性能目标进行分析。P上和 T1是数据手册中的参数。其余参数可用于估计 T2和 T3.关断模式电源来自线性稳压器的关断电流。
表 1.传感器系统操作规范
|
参数 |
价值 |
|
电源 |
+3.3 V |
|
电源,正常运行 |
46.2毫瓦(P上) |
|
电源,关闭模式 |
3.3 μW (P关闭) |
|
电源、睡眠模式 |
1.2毫瓦(P取舍) |
|
开启时间 |
190 毫秒 (T1) |
|
睡眠模式恢复 |
2.5 毫秒(T1秒) |
|
加速度计范围 |
±1.7 克 |
|
倾角范围 |
±30° |
|
低通滤波器 |
–3 dB @ 50 Hz,单极 |
|
采样率 |
200 SPS 数字滤波器 平均运行,最大 256 |
3. 使用有根据的假设来量化剩余的影响因素
建立时间会影响传感器系统可以支持的精度和测量速率。许多不同的因素都会影响建立时间,但本分析侧重于电气因素。估计建立时间需要性能目标、一些关键假设以及用于分析传感器对电源应用响应的模型。第一个关键假设是滤波器建立发生在初始启动期(开启时间)之后。虽然这两个周期可以同时进行,但级联分析它们提供了一种更保守的方法作为起点。图4提供了一个简化的模型,用于分析传感器对电源应用的响应。

图4.用于建立时间分析的电气模型。
上电后,加速度计传感器的输出a(t)表现出阶跃响应。由于传感器采用单电源供电,其输出可能从零开始,并迅速过渡到确定其方向的水平。为简单起见,假设零输出对应于可用的最小加速度级别。在这种情况下,我们使用 –2 g,以便在指定的最小值 –1.7 g 上提供一些裕量。此外,最大倾斜范围为 +30°,相当于 +0.5 g。结合这两个间隔,加速度计信号在启动时将进行的最大转换为+2.5 g。单极点低通滤波器b(t)的阶跃响应由以下公式捕获:

包含数字滤波器的模型需要离散版本的b(t),以及用于仿真滤波器的求和模型。

建立时间是在指定精度内稳定到其最终值所需的时间,一个E.图5显示了两条瞬态响应曲线,并显示了每条曲线的建立时间,精度为0.1 g。

图5.上电瞬态响应。
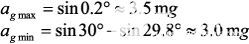
在本例中,误差预算允许0.2°的建立精度。正弦公式提供了一种将此目标转换为加速指标的简单方法。

使用 Excel 或 MATLAB 等工具对这个公式进行建模非常简单。使用 Excel 时,输出在 3 mg 的 0.5 g 以内达到 18千当 N = 16 时采样,而在 65千N = 64 时的样本。将这些数字中的每一个除以采样速率(200 SPS)可得到这些设置的建立时间估计值:N = 21时为1 ms,N = 90时为16 ms,N = 325时为64 ms。假设(如果合理)与热建立相关的误差可以忽略不计。由于所考虑的器件提供温度校准响应,因此这可能是一个可以接受的假设。验证这一假设为验证作为最终表征过程的一部分的准确性提供了很好的机会。
数据采集时间,T3,因为这种类型的系统不需要超过一个采样周期,因为所有必要的校正和过滤都在设备内部处理。在这里,采集时间仅占总测量时间的5 ms。
4. 将功耗与周期时间相关联
该分析的最后一部分涉及平均功耗和周期时间,实际上等于各个测量事件之间的时间量。表2总结了传感器数据手册中指定或通过此简单分析过程产生的关键功率循环因子,包括完全启动(电源循环)和睡眠模式恢复(睡眠循环)的数字。
表 2.关键功率循环参数摘要
|
动力循环 |
睡眠循环 |
|
|
P上 |
46.2毫瓦 |
|
|
P关闭 |
3.3 微瓦 |
1.15毫瓦 |
|
TM, N= 1 |
190 + 21 + 5 = 216 ms |
2.5 + 21 + 5 = 28.5 毫秒 |
|
TM, N= 16 |
190 + 90 + 5 = 285 ms |
2.5 + 90 + 5 = 97.5 毫秒 |
|
TM, N= 64 |
190 + 325 + 5 = 520 ms |
2.5 + 325 + 5 = 332.5 毫秒 |
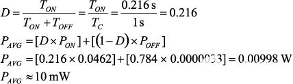
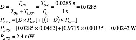
以下计算提供了一个快速示例,用于使用这些参数分析和比较需要 1 SPS 测量速率的系统的电源循环和睡眠循环。
电源循环:

睡眠循环:

在这里,睡眠循环是有利的。但是,如果循环时间增加到每分钟一个样品(TC= 60 s),功率循环方法的平均功耗为 0.2 mW,睡眠循环方法的平均功耗为 1.2 mW。周期时间和平均功耗之间的有用图形关系如图6所示。

图6.周期时间与平均功耗的关系。
睡眠模式保留所有初始化值,同时关闭系统的其余部分。尽管维护这些设置需要一些电源,但恢复时间比完全启动时间快。倾斜传感器ADIS16209提供可编程休眠时间和自动唤醒功能。这种类型的解决方案非常适合主处理器,主处理器还可以在数据就绪信号上唤醒,获取所需的数据,并命令传感器在另一个固定时间段内重新进入睡眠状态。另一个使用睡眠模式的MEMS产品示例是ADIS16223振动传感器,它收集和存储振动数据,自动返回睡眠模式,然后开始另一个测量事件的倒计时。这种类型的传感器适用于需要定期监视的系统,而无需分配处理器资源来管理睡眠和数据收集模式。
这个简单的分析提供了一些有用的见解。特别是,在某些情况下,尽管睡眠模式需要电源,但睡眠模式管理可以节省能源。在上面的示例中,睡眠模式为需要以 4 SPS 速率进行倾斜测量的系统提供了 1:1 的改进。在这里,休眠模式可为长达 6 s 的测量周期时间提供节能。对于测量周期时间较长的系统,与管理关断功能相关的较低开销可实现较低的平均功率水平。
结论
无论是出于经济还是环境原因,降低功耗的愿望似乎几乎是普遍的。降低功耗可以减小电源(如电源转换器、电池和太阳能电池)的尺寸和成本。其他潜在好处包括放宽热和机械设计要求、降低 EMI 辐射以及更有利的环境影响评级。
本文介绍的概念和分析技术为重视高度集成传感器产品的工程师提供了一个良好的起点,但也面临着尽可能降低功耗的压力。更重要的是,与识别和分析可能影响整体功率目标的行为相关的思维过程将变得更加重要,因为每个系统设计都提供了新的机会和风险。在完成初步分析后,也许俄罗斯谚语“Доверяй,но проверяй”(“信任,但要验证!”),最好地总结了如何确保最终实施的成功。跟踪关键假设,例如稳定精度(3 mg)以及热稳定是否会发挥作用。当有合适的硬件可用时,请在尽可能符合其预期用途的条件下测试这些解决方案。最后,测试这些假设将增加信心,并为将来的电源管理技术分析完善新的假设。
附录
ADIS16209 i Sensor双轴倾角计(图A)提供的数字输出与±180°范围内平行于地球重力的一个平面(垂直模式)的旋转成比例,或在±90°范围内提供与地球重力相切的两个平面(水平模式)的数字输出。片内ADC对iMEMS加速度计、内部温度传感器、电源和辅助模拟输入的输出进行数字化处理,并通过SPI兼容接口提供数据。灵敏度、采样率、带宽和报警阈值均可通过数字编程。该器件功能完整,还包括一个辅助 12 位 DAC、精密 2.5V 基准电压源、数字自检功能和可编程电源管理。ADIS3采用0.3 V至6.16209 V单电源供电,快速模式下功耗为36 mA,正常模式下功耗为11 mA,休眠模式下功耗为140 μA。该器件采用 16 端子 LGA 封装,额定温度范围为 –40°C 至 +125°C。®®

图 A. ADIS16209 框图。
ADIS16223 iSensor数字振动传感器(图B)将±70 g单轴iMEMS加速度计与灵活的低功耗信号处理器相结合。22kHz 传感器带宽和 72.9kSPS 采样速率非常适合机器健康应用;平均/抽取滤波器优化了低带宽应用的操作。该设备可以使用自动、手动或事件捕获数据收集模式从三个轴中的每一个轴捕获和存储 1k 个样本。它还可以测量温度和电源电压,捕获峰值,并提供基于状态的报警功能。ADIS3采用15.3 V至6.16223 V单电源供电,捕获模式下功耗为38 mA,睡眠模式下功耗为230 μA。该器件采用 16 端子 LGA 封装,额定温度范围为 –40°C 至 +125°C。

图 B. ADIS16223 框图
审核编辑:郭婷
上一篇:单轴和双轴微加工加速度计
下一篇:自主机器人的分布式传感器