时间:2009-03-22 11:17
人气:
作者:admin
变容二极管调频电路原理图
最简便、最常用的方法是利用变容二极管的特性直接产生调频波,其原理电路如图6-1 所示。

变容二极管Cj 通过耦合电容C1 并接在LCN 回路的两端,形成振荡回路总电容的
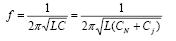
一部分。因而,振荡回路的总电容C 为:
C = CN + Cj (6-3)
振荡频率为:

加在变容二极管上的反向偏压为:
VR = VQ(直流反偏)+υΩ(调制电压)+υo(高频振荡,可忽略)
变容二极管利用PN 结的结电容制成,在反偏电压作用下呈现一定的结电容(势
垒电容),而且这个结电容能灵敏地随着反偏电压在一定范围内变化,其关系曲线称
Cj ~υR 曲线,如图6-2 所示。
由图可见:未加调制电压时,直流反偏VQ(在教材称VO)所对应的结电容为
CjΩ(在教材中称CO)。当反偏增加时,Cj 减小;反偏减小时,Cj 增大,其变化具有
一定的非线性,当调制电压较小时,近似为工作在Cj ~υR 曲线的线性段,Cj 将随
调制电压线性变化,当调制电压较大时,曲线的非线性不可忽略,它将给调频带来
一定的非线性失真。
我们再回到图6-1,并设调制电压很小,工作在Cj ~υR 曲线的线性段,暂不考
虑高频电压对变容二极管作用。
设 υR = VQ + VQ cosΩt (6-5)
由图6—2(c)可见:变容二极的电容随υR 变化。
即: Cj=CjQ — CmcosΩt (6-6)
由公式(3)可得出此时振荡回路的总电容为C′= CN + Cj = CN + CjQ — CmcosΩt
上一篇:集电极调幅电路图