全球最实用的IT互联网信息网站!
AI人工智能P2P分享&下载搜索网页发布信息网站地图
简单小巧的无线对讲机电路
阅读全文2009-03-11
给CT-999型无绳电话加上振铃电路
TDA7010T开线对讲机电路
SN739台机接收电路
LM389单片对讲机B电路图
LM389单片对讲机电路图
DTMF甚高频发码电路
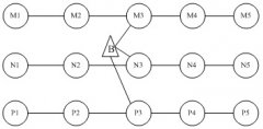
无线传感器网络带状拓扑路由应用及设计
中国TD系统如何实现向TD-LTE发展
怎样预防计算机病毒
阅读全文2009-03-10
无线连接Wi-Fi设备将帮助您解决三大设计
6G的下一步:太赫兹技术新进展
摩尔斯微电子与移远通信合作,将Wi-Fi
移远通信携手MediaTek在悉尼科技大学开展
CPU | 内存 | 硬盘 | 显卡 | 显示器 | 主板 | 电源 | 键鼠 | 网站地图
Copyright © 2025-2035 诺佳网 版权所有 备案号:赣ICP备2025066733号 本站资料均来源互联网收集整理,作品版权归作者所有,如果侵犯了您的版权,请跟我们联系。