全球最实用的IT互联网信息网站!
AI人工智能P2P分享&下载搜索网页发布信息网站地图
垃圾邮件(Spam)与邮件过滤技术
阅读全文2009-03-02
混合轨道卫星通信系统的路由算法
LEO与GEO混合轨道卫星通信系统
基于定位辅助的超宽带自组网路由算法
Jini技术原理及特点
直接数字合成是什么意思?基本方案的基本方案
阅读全文2009-03-01
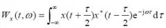
WVD和STFT的定义及变换原理
神经网络分类
特征量的选择和提取
纹理特征分析及特征量计算
无线连接Wi-Fi设备将帮助您解决三大设计
6G的下一步:太赫兹技术新进展
摩尔斯微电子与移远通信合作,将Wi-Fi
移远通信携手MediaTek在悉尼科技大学开展
CPU | 内存 | 硬盘 | 显卡 | 显示器 | 主板 | 电源 | 键鼠 | 网站地图
Copyright © 2025-2035 诺佳网 版权所有 备案号:赣ICP备2025066733号 本站资料均来源互联网收集整理,作品版权归作者所有,如果侵犯了您的版权,请跟我们联系。