时间:2016-10-28 17:16
人气:
作者:admin
液晶显示器的驱动方法有:静态驱动法、动态驱动法、双频驱动法等。本文仅就目前应用最广泛的动态驱动法加以说明。以点阵式液晶显示器为例对其动态驱动法作以介绍,给出了一种克服交叉效应的办法。
液晶的显示是由于在显示像素上施加了电场,这个电场是显示像素前后两电极上的电位信号的合成。由于直流电场容易使液晶的寿命降低,因此,一般都只建立直流成分非常小的交流电场。直流分量通常小于50mV.液晶显示器的驱动通过调整施加在液晶显示器电极上的电位信号的相位、峰值、频率等建立驱动电场以实现显示。
动态驱动法
当液晶显示器显示的像素众多时,如点阵型,为了节省庞大的硬件驱动电路,液晶显示器电极的制作与排列做了加工,实施了矩阵式结构:即把水平一组显示像素的背电极都连在一起引出,称之为行电极;把纵向显示像素的段电极都连在一起引出,称之为列电极。显示器上每个像素都由其所在行列位唯一确定。液晶显示器的动态驱动法就是循环地给行电极施加选择脉冲,同时给所有的列电极加上响应的选择或非选择的驱动脉冲,从而实现某行所有像素的显示功能。这种扫描是逐行顺序进行的,循环周期很短,使得液晶屏上呈现出稳定的图像。
在一帧中每行的选择时间是相等的。假设一帧的扫描行数为N,扫描时间为1,那么一行所占有选择时间为一帧时间的1/N.这就是液晶显示驱动的占空比系数,也称为占空比。
克服交叉效应
在动态驱动方式下,要使某一位置如(i,j)点显示,就需在第i列和第j行上同时施加选择电压,使该点的变电场强最大,但此时除(i,j)点外,第i列和第j行的其余各点也承受了一定电压,这些点称为半选择点。若半选择点上的有效电压大于阈值电压时,在屏幕上将出现不应有的显示,使对比度下降,这就是交叉效应。解决交叉效应的办法是平均电压法,即把半选择点与非选择点的电压平均,适度提高非选择点的电压来抵消半选择点上的一部分电压,使半选择点上的电压下降,从而提高显示对比度。现以图1说明之:

图1中选择点为(SEG1,COM2),以下简称为(1,2)。现第2行施加V1电压,其余各行电压0V;第一列施加-V2电压,其余均为非选择电压1/a‘V1.接下来分析各点的电位差,即行电压减去列电压。
选择点:(1,2):V1+V2
半选择点:(1,1),(1,3),(1,4):V2(2,2),(3,2),(4,2);V1-1/a’V1
非选择点:-1/a‘V1
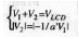
为保证选择点的显示效果,使V1+V2=VLCD保持在所需的电压值VLCD.同时为了提高显示的对比度,令|V2|=|-1/a’V1|,即:
![]()
解之:
![]()
令:a‘+1=a,得:
![]()
于是,图1中各点电压为:
选择点:(1,2):VLCD
半选择点:(1,1),(1,3),(1,4):(1/a)VLCD(2,2),(3,2),(4,2):[(a-2)/a]VLCD
非选择点:-(1/a)VLCD
可见,行半选择点和非选择点上的电压均为显示电压VLCD的1/a.这1/a就称为偏压系数,也称为偏压。此方法称为1/a偏压的平均电压法,简称为 1/a偏压法。在这种方法中,MAX{[(A-2)/a]VLCD,(1/a)VLCD}将成为调整显示对比度的尺度。当扫描行数N=1时,动态驱动法就等于静态驱动法。
动态驱动法的应用实例
笔者在进行酒精浓度检测仪显示方式的选择过程中,通过多方调研考察,最终选用了香港精电公司生产的VM807-2型8位码段型(7段)液晶显示器。这除了因为液晶显示器耗电极微之外,还因为我们采用的MCU(PIC16C924)本身已具有LCD的驱动能力,因而,不论从降低成本考虑还是从简化电路方面考虑,这样的选择无疑是比较合理的。下面我们将针对MCU中LCD模块的具体运用加以说明。
LCD模块的配置
1、对LCDCON寄存器的配置
LCDCON寄存器如图2所示:

其中:LCDEN:LCD模块使能;SLPEN:休眠模式使能;VGEN:内部电压产生使能;CS1:CS0:LCD时钟选择位,“00”=Fosc/256,Fosc=4MHz;LMUX1:LUMX2:公共端数目与偏置选择,“10”=3公共端,1/3偏置。
我采用的配置码为:10000010.
对LCDPS寄存器的配置
LCDPS寄存器如图3所示:

其中:LP3:LP0帧时钟分频选择位
我采用的配置码为:***0011,其中“*”代表“0”或“1”。
依据帧频率计算公式,帧频率为:
CLOCk source/96(LP3:LP1+1)
=4×106/96×(3+1)×256
=40.69Hz
2、像素控制
像素由像素寄存器的第一个状态位唯一确定。LCD模块共有16个像素寄存器,最多可控制4×29=116个像素。我们采用的LCD共有8×8=64个像素。因此,像素数据寄存器是足够用了。LCD的像素数据寄存器如图4所示:

位7:位0:SEGSCOMC表示控制像素数据的段码和公共端数。其中,下标“S”表示“0~32”个段码,下标“C”表示“1~4”个公共端。寄存器位为“1”表示打开像素(黑);寄存器位为“0”表示关闭像素(亮)。
3、段码使能
段码的使能通过LCDSE寄存器来实现。因为VIM807-2是8位7段显示器,而我们选择的是1/3占空比(即3个公共端),因此,通过LCDSE寄存器必须选择3×8=24段才能满足需要,即表达完全部的码段像素。当然会有多余,8×9=72,因为每3公共端和3段可以表达9个像素。公共端和段选择方式如图5所示。

LCDSE寄存器如图6所示:

各位所代表的意义分别是位数、引脚功能、3COM时管脚控制段数以及选择的控制段。根据上述,LCDSE的控制码为:00111011.
4、LCD驱动电压的产生
LCD驱动电压的产生有两种办法,内部充电泵法或者外部梯形电阻网络法。由于LCD充电泵正处在发展中,为了使设计风险减小,我们采用较为成熟的外部梯形电阻网络法。使用外部梯形电阻网络时,VGEN(LCDCON《4》)应清零。
5、LCD模块配置程序
……
MAIN BCF STATUS,PRO
BSF STATUS,RP1
MOVLW 0X82
MOVWF LCDCON
}
MOVLW 0X03
MOVMF LCDPS
MOVLW 0X3B
MOVWF LCDSE