时间:2015-08-03 09:11
人气:
作者:admin
麦克风,学名为传声器,是将声音信号转换为电信号的能量转换器件,由“Microphone”这个英文单词音译而来。也称话筒、微音器。二十世纪,麦克风由最初通过电阻转换声电发展为电感、电容式转换,大量新的麦克风技术逐渐发展起来,这其中包括铝带、动圈等麦克风,以及当前广泛使用的电容麦克风和驻极体麦克风。本文为大家介绍几种麦克风的设计方案,仅供参考。
TOP1 电容式MEMS麦克风读出电路设计
1引言
与传统的驻极体电容式麦克风相比,电容式MEMS麦克风具有以下优势:1)性能稳定,温度系数低,受湿度和机械振动的影响小;2)成本低廉;3)体积小巧,电容式MEMS麦克风的背极板和振膜仅有最小的驻极体电容式麦克风的1/10左右;4)功耗更低。以上几方面的优势使电容式MEMS麦克风得到越来越广泛的应用。
然而,电容式MEMS麦克风也给设计人员提出了挑战:1)麦克风在声压作用下产生的小信号幅度非常微小,要求读出电路的噪声极低;2)电容式MEMS麦克风的静态电容是pF量级,读出电路需要GΩ量级的输入电阻才能实现极点频率低于20Hz的高通滤波器,因此,高阻值电阻的实现是读出电路的又一挑战;3)电容式MEMS麦克风通常应用于电池供电的产品,因此低功耗设计也是读出电路设计时必须考虑的约束。
基于以上考虑,在分析电容式MEMS麦克风工作原理的基础上,提出了一种低功耗、低噪声、高分辨率的电容式MEMS麦克风读出电路。
2电容式MEMS麦克风
2.1工作原理
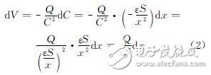
电容式MEMS麦克风的主要结构包括一个薄而有弹性的声学振膜及一个刚性的背极板。振膜、背极板以及它们之间的空气隙共同组成一个平行板电容器,故有:
V=Q/C,C=εS/x (1)
式中,C为电容量,S为极板的面积,Q是极板间的电压为V时存储的电荷量,ε是极板间介质(空气)的介电常数,x为两极板间的距离。当dP大小的声压变化作用于振膜时,将引起两极板间的电压变化:

因为dx∝dP,所以输出电压dV∝dP.这就是电容式MEMS麦克风的声电转换工作原理。
这一原理成立的条件是:在声电转换过程中,必需保持麦克风电容所储电荷量Q不变,因此需要外加一个稳定的直流电压给电容充电,使之保持恒定的充电状态。这一功能由电荷泵来实现。
2.2麦克风读出电路结构
电容式MEMS麦克风及其读出电路组成的系统如图1所示。

图1麦克风及其读出电路结构
电荷泵为麦克风提供稳定的直流电压,以保持麦克风电容所储电荷量不变。在此基础上,声压作用于振膜时,将引起麦克风两极板间电压的变化,这个音频范围内的电压小信号Vmic通过麦克风电容Cmic和读出电路的高阻值输入电阻组成的高通滤波器读出。
需要特别指出,背靠背的二极管有三个作用:1)提供高阻值输入电阻,与麦克风电容一起实现低极点频率的高通滤波器,进而实现麦克风小信号的读出;2)为单位增益缓冲器提供直流偏置电压;3)起静电保护作用,在读出电路遭受静电袭击时为其提供低阻直流通路。单位增益缓冲器的作用一是屏蔽麦克风与后续信号处理电路,避免两者之间相互影响,二是提高读出电路的驱动能力。
3读出电路设计
3.1低极点频率高通滤波器
背靠背二极管的实际电路如图2所示。背靠背二极管可实现虚拟电阻。二极管连接的PMOS管Ma,Mb的衬底与栅极相接,这种连接方式不会产生寄生三极管,可以保证两个二极管串始终只有一组导通(饱和导通或亚阈值导通)。在正常工作状态下,Ma1,Ma2亚阈值导通。仿真结果表明,当节点IN与节点A之间的电压差绝对值小于0.2V时,背靠背二极管可以实现GΩ量级的电阻,如图3所示。

图2背靠背二极管的电路

图3背靠背二极管的电阻-电压特性
背靠背二极管还可以为单位增益缓冲器提供直流偏置电压。电流源Ib的电流流过电阻Rb,从而在节点A形成固定的电压,单位增益缓冲器的输入直流偏置也就被固定于IbRb.
背靠背二极管具有ESD保护作用,在读出电路遭受静电袭击时为其提供低阻直流通路。需要注意的是,因为读出电路对输入阻抗要求很高,所以在设计中使用了 ESD保护电路与读出电路内部功能性电路复用的电路,这样可以避免在设计完功能性电路后再加上ESD保护电路而对电路性能产生重大影响。
3.2低噪声低功耗单位增益缓冲器
较之开环运算放大器,使用单位增益缓冲器可得到比开环运放更大的输入阻抗和更小的输出阻抗,从而可以更好地屏蔽麦克风与后续信号处理电路,以避免两者之间的相互影响;同时,还可以更容易地驱动后续信号处理电路。
只需将运算放大器输出端与反相输入端短接,即可实现单位增益缓冲器,如图4所示。与套筒式结构相比,使用折叠结构的运算放大器最大的优点在于易于使运放的输出与输入短接,共模电平的选取也更加容易。

图4运算放大器
输入管使用尺寸较大的PMOS管,其原因主要有两个:一是与NMOS管相比,PMOS管的1/f噪声更小;二是输入管直流偏置点可以设置得更低,从而使电荷泵输出电压大部分降落在麦克风上。
采用不对称的输入管,反相输入管尺寸更大,其优点在于可以消除输入失调电压的影响,提高分辨率。假如设置运放反相输入端的直流偏压比正相输入端高 50mV,那么,当麦克风小信号的幅值小于50mV时,读出电路分辨率将不受失调电压的影响。而且,反相输入管面积越大,闪烁噪声越小,进而减小了单位增益缓冲器的等效输入噪声。
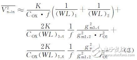
工作在饱和区的MOS管的跨导与其漏极电流的平方根成正比。但是,工作在亚阈值区的MOS管的跨导与其漏极电流成正比。所以,为了在降低噪声和功耗的同时保持运放的开环增益,设计中采用工作在亚阈值区的输入管。忽略运放第二级对输入噪声的影响,音频范围内二级运放的等效输入噪声电压为:

(3)式主要考虑了闪烁噪声的影响。从(3)式可以看出,增大M1~M6的尺寸可以增大M1和M2的跨导,减小M3~M6的跨导可以减小闪烁噪声。需要说明的是,在设计低功耗的二级运放时,为了降低功耗,可以让运放中的一些管子工作在亚阈值区,但这是以增大管子面积、降低运放速度为代价的。在电路设计过程中,往往需要考虑多方面的因素来进行折中优化设计。
4电路仿真结果与分析
基于X-FAB 0.35μm CMOS工艺,使用Cadence软件,对MEMS麦克风读出电路进行仿真。设电荷泵输出电压为11V,麦克风静态电容为1pF,设定单位增益缓冲器输入直流电平为200mV,负载为100pF电容和100kΩ电阻的最差负载情况。输入管不对称的运放的性能参数如表1所示。

表1开环运算放大器的性能参数
电路仿真结果显示,电源电压在1.2~3.6V时,读出电路均可正常工作(当电源电压低于1.2V时,基准电流源无法正常工作,基准电流会迅速下降并趋于 0,此时,读出电路因得不到合适的偏置而无法正常工作;当电源电压高于3.6V时,超过了工艺耐压的极限,极有可能对芯片造成毁灭性的损坏);读出电路静态电流小于60μA,在20Hz~20kHz的音频范围内,等效输入噪声为5.2μV,信号读出效率大于83.6%(-1.56dB)。
电源电压为1.2V时,读出电路的幅频响应曲线如图5所示,低频的极点频率为8.6Hz.

图5读出电路频率响应
由于运放失调电压的影响被不对称输入管消除,且电荷泵的等效输出噪声是nV量级(可以忽略不计),所以读出电路可以处理的小信号幅度范围是50μV~200mV.本文读出电路与文献[9]读出电路的各项性能比较结果如表2所示。

表2读出电路性能比较
5结论
设计了一种新颖的电容式MEMS麦克风读出电路,该电路包含低极点频率的高通滤波器和低噪声的单位增益缓冲器两个部分。采用二极管连接的MOS管实现了高阻值的输入电阻,与电容式MEMS麦克风的静态电容一起组成低极点频率的高通滤波器,可读出麦克风在声压作用下产生的小信号。另外,采用两种办法来提高读出电路的分辨率:一是运放采用不对称输入管来消除失调电压的影响,二是通过增大输入管的尺寸等方法来降低运放的输入噪声。在读出电路的设计中,为了降低读出电路的功耗,使用了工作在亚阈值区的MOS管。
本文提供的读出电路设计方案具有噪声小、可以处理的小信号幅度范围广、功耗低等特点,可延长电池供电的便携式设备的待机时间。