时间:2011-01-14 14:51
人气:
作者:admin
音频功率放大器被广泛应用于诸如移动电话、MP3,MP4等便携式设备中,而为了使音频功率放大器能正常工作,其内部必须含有旁路电压控制电路,以产生正确的直流偏置电压使电路正常工作。这里在O.5μm CMOS工艺条件下,设计了一种采用电流反馈实现迟滞功能的旁路电压控制电路。
1 电路结构
旁路电压控制电路包括施密特电路、比较器电路和控制电路三大部分。其整体的电路如图1所示。下面将分别介绍。
1.1 施密特电路
集成电路的广泛应用为芯片添加关断功能以降低芯片的功耗成为必需。该设计中的M25~M29组成的施密特电路就提供了此功能。当外部引脚“SHUTDOWN”电压Vin为低电平时,M25,M26导通,M27,M28截止,D点输出高电平,此时整个电路处于关断状态,内部功耗极低。随着Vin逐渐升高,当Vin>VTH(M28)时,M28,M29均处于导通状态,则M28的漏端电压为M28,M29对电源的分压,近似为VDO/2.故M27仍截止。当Vin继续上升,M25,M26导通能力下降,导致M27的源端电压下降,当VGS(M27)>VTH(M27)时,M27开始导通,使D点电压急剧下降,进一步使M25,M26的导通减弱直至截止,此时,输出翻转,D点输出低电平,电路转为正常工作。
施密特触发器的特点在于其可将缓慢变化的电压信号转变为边沿陡峭的矩形脉冲,所以即使外部引脚“SHUTDOWN”的电压变化缓慢或包含噪声,电路都能正常地工作;同时也能看出,只有在输入大于一定电压时,电路才会正常工作,这样的设计提高了电路的抗干扰能力。
1.2 电压比较器电路
比较器用于比较两个输入模拟信号并由此产生一个二进制输出。而通常情况下,比较器工作于噪声环境中,并且在阈值点检测信号的变化。当一个包含噪声的信号加在没有迟滞功能的比较器的输入端,会使比较器的输出充满噪声,甚至有可能出现振荡现象。故在设计时往往借助正反馈以实现滞后功能,使电路具有一定的抗噪声能力。这种正反馈往往分为外部正反馈和内部正反馈,又由于外部正反馈所需的高精度的电阻在集成电路中很难实现,所以内部正反馈得到了更为广泛的应用。
在该设计中,电压比较器的主要功能在于:比较旁路电压和基准电压的大小,输出信号到控制电路以确定是否对旁路电容进行充电。它的电路结构图如图2所示。当PD为低电平时。比较器正常工作。当“+”端电压低于“-”端电压时,M1的漏电流大于M2的漏电流,多余的电流对电容Cj(此点到地的等效寄生电容)进行充电,M6的栅电压升高,当|VGS6|<|VTP|时,M6截止,比较器输出低电平;同理,当“+”端电压高于“-”端电压时,电容Cj(此点到地的等效寄生电容)放电.M6的栅极电压降低,M6饱和导通,比较器输出高电平。

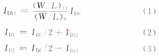
M8~M12为电流反馈部分。当比较器输出高电平时,开关管M9和M12均导通,M11和M8组成电流镜结构,当M11,M8均处于饱和区时电流镜正常工作且M11,镜像M8的漏电流并反馈回A点,以改变比较器负向转折的阈值电压VTRP-,达到迟滞的目的。
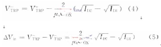
则通过调节M11和M8管的宽长比,可以改变反馈回A点的电流大小,从而改变电路的负向转折阈值电压。此时比较器的正向转折点和负向转折点不等,比较器电路具有双稳态特性,其宽度为:

该宽度电压表明了比较器所允许的最大噪声幅度。
与文献中所介绍的利用内部电压正反馈实现迟滞的电路相比,采用电流反馈的方法,一方面避免了同时使用正、负反馈,使电路的性能更为稳定;另一方面也减少了MOS管状态改变的次数,降低了比较器传输时延。当PD为高电平时,M13截止,M14导通,使得M5,M7,M10均处于截止状态,整个电路处于低功耗状态。
1.3 控制电路
控制电路所实现的功能为产生比较器所需的基准电压和对旁路电容进行充、放电。图1中,M17,M18的栅极电压由放大器的偏置电路产生。当PD为低电平时,开关管M15导通,调节R1,R2的值,使B点的电压等于VDD/2,并将B点的电压作为比较器的正向转折电压,此时开关管M19导通。电路对旁路电容CB充电且将C点电压作为比较器的正向输入。当电容上的电压低于时,比较器输出低电平,M21截止;当电容上的电压高于正向转折电压时,比较器输出高电平,M19截止,电路停止对旁路电容充电,同时M21导通。此时C点的电压为:

式中:VC+为M21导通后电容上的电压;VC-为M21导通前的电容上的电压;τ为时间常数,τ=(RB+R)C;RB为B点到地的等效电阻。可以看到在一段时间后,旁路电容上的电压将近似等于B点电压,即VDD/2,则得到所需的旁路电压。同时,考虑到音频功率放大器上电、掉电的“POP”噪声是由旁路电压的瞬间跳变引起的,所以可以适当的增大旁路电容以增大旁路电压的上升、下降速度,起到减少“POP”噪声的作用。
当PD为高电平时.M16截止,电路不工作。
吴卉 张涛 现代电子技术
2 仿真结果
该使设计采用Candence Spectre仿真工具进行仿真,所采用的工艺是华润上华O.5μm的N阱CMOS工艺典型模型。
图3为该设计中旁路电压的输出变化曲线。“SHUTDOWN”引脚低电平有效,输出曲线在电路从关断状态转为工作状态时会出现一个小突刺,这是由于旁路电容上的电压比节点C略高,电容会有一个小的放电过程。在常温下,输出约在3.4μs处开始稳定在2.5 V。当t=7.5μs时,输出为2.501 6 V,其误差为O.064%。电路的静态功耗为O.685 mW。

图4为电压比较器的正端电压从2.0~3.O V变化以及从3.O~2.0 V变化时,比较器的输出变化曲线。可以看出,比较器的正向阈值电压,负向阈值电压。与的不等说明引入迟滞后电路抑制噪声的能力明显增强。

图5和图6分别为比较器的正向传输时延和负向传输时延。由图可知,比较器的正向传输时延为7.632 ns,负向传输时延为35.32 ns。对于大部分的芯片而言,这个数量级的延迟是可以忽略的。


3 结语
从上面的仿真结果可以看出,该设计的旁路电压控制电路可以产生输出稳定的旁路电压,且具有一定的噪声抑制能力。此外,整个电路的静态功耗低,信号的延迟时间较短,可以广泛应用于各种音频放大器电路中。
下一篇:音频功率放大器的CMOS电路设计