时间:2009-12-08 14:52
人气:
作者:admin
PON网络中视频业务传送过程中的拉曼串扰
G.983系列标准描述了一类PON网络,这些网络基于波分双工和时分复用技术[1]。通常人们称这些网络为宽带PON(即BPON),BPON具备数字传输的能力,速率从155Mb/s到1244Mb/s不等。这些网络是第一种被定义为专业数字式的网络,具有两个波长:1310nm用于上行链路,1550nm用于下行链路。
自从基本的G.983.1系统问世以来,人们越来越明白视频覆盖业务将成为一种颇有价值的业务。由于视频业务从传统意义来说是一种广播业务,因此为PON系统增加一个广播通道就显得非常实用和便利。后来的G.983.3标准决定使用WDM技术[2],国际电信联盟(ITU)公布的G.986.3建议提出了通过波长分配提高服务能力的宽带接入系统(参看图1)。这个建议指定1490nm波长用于下行的语音和数据信号,1550nm波长用于下行的视频信号,1310nm用于上行的语音和数据信号。下行数字发射波长范围一般是很窄的,从最初的100nm宽变成更小的20nm宽,中心波长为1490nm,而上行波长范围依然在以1310 nm为中心的100nm区域内。
新的波长分配方案提出了一对被称为“增加带宽”的应用,包括密集波分复用(DWDM)点对点覆盖业务,以及一种广播视频覆盖业务。利用波长来完成所承载视频业务的传播,然而,这种标准(G.983.3)并没有规定精确的波长、功率电平以及信号模式。因此,这等于说由系统供应商来定义视频业务传送时的信号参数。
综合各方面因素的考虑,波长分配方案是最好的。许多网络设备和器件制造商已经接受了ITU的G.983.3建议。因此,今天许多光纤网络运营商都正在安装这种系统,这些系统由光线路终端(OLT)、光网络终端(ONT)、WDM耦合器和1×N分波器组成(图1)。
G.983.3方案中的“增加带宽”处于EDFA从1530nm到1560nm通带区域内,这就允许使用廉价的放大器来覆盖波长,这对视频传输的场合而言就显得尤为重要。不仅如此,G.983.3标准也可以在B-PON下行波长和覆盖波长之间形成一条很宽的保护波段,从而使滤波隔离地更容易些。
无论如何,任何波长分配计划都会在150nm范围内放置2个下行波长,这样互相之间就产生了拉曼效应。作为G.983.3系统里的一个事实,我们将分析这种效应对PON系统的实际影响到底如何?
2、理论
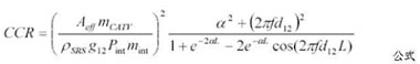
G.983.3系统中的情形是这样的:数字信号(1490nm波长,功率大约为0 dBm)扮演着模拟视频信号波长(C波段波长,功率大约为17 dBm)的拉曼泵浦的角色。这种效应已经由Phillips [3]用公式表示出来。其关键结果串扰率(CCR)由公式一表示。由于拉曼效应具有低通(low-pass)特性,因此越低的视频通道性能降级地就越厉害。

从表一我们可以看到详细参数定义。起源于一个NRZ信号光谱的数字信号有效调制指数mint表示为:

应该要说明的是公式2是近似的表述,而不是完全相同的表述。在这里,公式2发现调制指数mint通过一个 因子被夸大,因此也就过高地估计(overestimates)了CCR数值(达到5dB)。这可以通过计算总的数字信号功率来证实上述推断。我们
也因此证明我们的公式2是正确的,在以下的计算里我们将采用这个公式。表一提供了所有使用过的参数值。
表一:完整的参数列表

通过给予的这些参数,我们可以计算出给模拟视频信号造成的所有CNR劣化。理解CNR与链路距离之间的关系是十分重要的,因为无论是接收功率还是拉曼干涉都与距离有很大关系。相关结果显示在图2中。在这里,损耗诱导降级与拉曼诱导降级(degradation)之间达到了一种平衡。图中显示,CNR曲线在感兴趣的距离上都比较平坦,可以预期对业务的影响是比较小的。

在那些需要额外盈余(margin)的地方,有一种非常简单的方法来减少拉曼效应所带来的影响。由于拉曼影响仅存在低通道领域,因此增加这些通道的调制指数就可以摆脱拉曼效应的影响。
在北美地区,只有通道2到6(channels 2 through 6)属于低波段区域,通道7(channel 7)高于108MHz,比通道2高两倍。因此通道7和更高的通道都不受拉曼干涉的影响。
3.试验
G.983.3覆盖系统的性能已经通过一个商用三工器(triplexer)在实验室得到验证。视频发射机包含了一个能产生82个模拟通道的矩阵发生器,一个摩托罗拉GX2外调制1550nm发射机和一个EDFA放大器。数据发射机是采用了量子桥(编者注:该公司已经被摩托罗拉收购)QB5000 OLT (NRZ 622 Mb/s)中的1490nm下行发射机代替。这两个发射机都通过衰减器来将其输出功率控制在要求水平,接着再耦合进一根单独PON光纤上,该光纤配有WDM器件。而光纤支线(feeder fiber)是10公里长,非常接近拉曼效应最坏情况下所对应的的光纤长度。在光纤的输出端连接一个分路器(splitter),接着再增加一个衰减器来控制传送到ONT triplexer上的视频功率。在所有的状况下,模拟视频功率控制在–4.5 dBm左右,这对系统而言是最理想的灵敏度。
CNR,CSO以及CTB性能指标通过在整个波段随选一个通道来测量的。在所有的情况下,CSO和CTB都处于高50领域,因此不会产生失真。对通道CNR测量的结果显示表二上。一共有四种情况,第一种情况是在完全没有数据信号的状况下进行视频操作,所有的通道性能表现都是很好的。注意甚高通道都低于48 dBc,不过我们发现这主要是由triplexer电路的输出段额外RF损耗引起的,而不是光信号本身的原因。
表2:G.983.3系统在四种不同情况下的CNR测试结果

第二种情况是数字功率为–6 dBm(在实际应用中最低的)。只有通道2出现了性能降级,其他通道依旧工作在令人满意的48 dBc CNR上。当光纤长度达到10公里,拉曼效应增大,这也是理论上所预期的。第三种情况是数字功率运行在–3 dBm(在实际应用中的最高点),在这种情况下,我们发现低通道受到拉曼串扰的严重影响,它们的CNR值也降到48 dBc以下。注意这种情况比实际中最差情况更糟糕一些,实际最差的情况是10公里处的视频功率为-2dBm。在本次试验过程中,视频水平(video level)比我们在野外实际测量的要低2.5dB,因此,本次测试是有一定实际意义的。
第三种情况跟第四种情况类似,只不过在第四种情况里,那些受影响的低通道都被预先补偿了2dB。这增加了信号的强度,使这些通道的CNR值恢复到48 dB以上。我们注意到这并没有给发射机性
能造成不适当的影响。第四种情况最后证明了G.983.3系统在最糟糕的状况下仍能通过对低通道的预加重来优化系统性能。