时间:2009-05-05 20:39
人气:
作者:admin
1 引 言
变压器绕组直流电阻测试是变压器出厂及预防性试验的主要项目之一。按照IEC标准和国标GB1094,变压器在制造过程中、大修后、交接试验和预防性试验以及绕组平均温升的测定和故障诊断中等都必须进行该项试验〔1〕。
近几年有关电力变压器直流电阻的测试方法已在参考文献〔2~4〕中详细论述。这些方法可以分为两大类:静态和动态测量法。所谓静态测量法,指待绕组充电电流稳定后进行测量,它包括,增大回路电阻的电路突变法、高压充电低压测量法、磁通泵法等,它们都存在测量过程须依赖人工干预的缺点。所谓动态测量法,指不需要等到稳定后再测量,而是利用电感线圈充电过程中的电压、电流数据来测量其电阻。在动态测量法中,二阶振荡法对于回路中所串联的电容有较高的要求,还要求严格把握电流极值点,若di/dt≠0,而电感的数值又很大,所产生的电感压降UL=Lx(di/dt)叠加于直流电阻极小的压降UR上,则降低测量精度。一般而言,静态测量法消耗时间较长,但是测量数据比较可靠;动态测量法快速高效,但是测量数据有时不太可靠。
本文针对它们的各自特点,借助于TI(TexasInstrument)公司信号处理器(DSP),提出了“消磁动态法”,力求将两类方法的优点集于一体,解决智能化、快速、可靠测量大型电力设备直流电阻的问题,尤其是大容量的三相五柱变压器的快速测量。
2 测试系统原理分析
2.1 消磁法基本思路
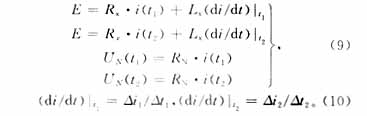
常规研究三相三柱变压器的方法是把电力变压器绕组等效于电感和电阻的串联,绕组电流变化过程为
其中,τ=Lx/Rx为回路时间常数;Rx、Lx为被测变压器绕组直流电阻、电感;E、i为电源和回路电流。
下面简要分析三相五柱变压器的互感耦合绕组的电路过渡过程,其等效电路如图1所示。其中,R1为原边电阻;R2为副边电阻折合值;L为对应于激磁电抗的电感。此电路的阻抗函数为:![]()

此电路的强制响应(即端电压的稳态分量)和自然响应分别为:![]()
电路的全响应为强制响应与自然响应之和,即,
![]()
待定常数A可由初始条件求得。因此,端电压的时间变化函数为:![]()
那么,若将恒流源通入副边短路的变压器中时,虽然原边电流很快达到其稳定值,但由于副边感生电感电流的影响,原边电压要经过一长时间才达到其稳定值。由此可见,互感耦合绕组电路的过渡过程由次级参数决定,而与初级无关,即便是加大电源内阻也并不能影响次级时间常数。
造成加电后感性绕组存在过渡过程的原因是磁通不能突变。当由一稳态转换到别一稳态时就需要过渡时间。如果略去剩磁,则测量变压器直流电阻时,其起始状态磁通为零。如果我们设法在整个测量过程中保持这种零状态,那就从根本上消除了过渡过程,达到快速测量的目的。
测量高(中)压线圈的直流电阻的同时,在中(低)压线圈中加反向电流,目的是抵消电流磁场。也就是说,当测量高压侧直流电阻时,除在高压待测相线圈中加电流外,还应在相应的中压侧线圈中加一反向电流,使此电流产生之磁势与高压侧产生之磁势大小相等方向相反,如能同时加入则性能达到相互抵消。即,保证在整个测量过程中保持“零磁通”状态。其简图如图2(略去低压绕组)所示。


/u3。又因低压绕组系bc相串接后与a相并接。故,总注入电流应为a相电流的1.5倍,即,


4 测量任务
4.1 计算相间电阻、线间电阻的不平衡率〔4〕
在GB6451-86《三相浸式电力变压器技术参数和要求》系列标准中,规定了三相绕组直流电阻不平衡率的限值。当容量为1600kVA时,要求相电阻不平衡率≤±4%、线电阻不平衡率≤±2%;当容量更大时,则相电阻不平衡率(中性点引出时)和线电阻不平衡率均≤2%。所以,必须根据测量结果计算出相应电阻不平衡率。
4.1.1 相及线电阻不平衡率表达式
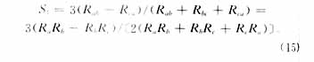
设三相变压器三个相绕组的电阻值分别为Ra、Rb和Rc;设最大相绕组、最小相绕组分别为Rmaxp和Rminp。由此,按相电阻不平衡率Sp的定义,有:

又设在三相变压器的三个线端a、b和c中的任意两个端子间的线电阻分别表示为Rab、Rbc和Rca,且设Rmaxl最大、Rminl最小。由此,按线电阻不平衡率Sl的定义有:

4.1.2 Y或Z联结时线电阻不平衡率表达式
从用直流电源测电流电阻角度看,Y联结与Z联结并没有什么区别,均有:
Rab=Ra+Rb,
Rbc=Rb+Rc,
Rca=Rc+Ra。
当Ra最大Rc最小时,则Rab最大,Rbc最小。则式(13)变换为:
由式(14)可知,在Y联结及Z联结时的线电阻不平衡率S1总是等于相电阻不平衡率Sp的一半。
4.1.3 D联结时线电阻不平衡率的计算
在D联结时,每次测得的线电阻,是由两相绕组串联后再与第三相绕组并联。设Ra最大、Rc最小,因此,线电阻不平衡率Sl为:
4.2 绕组直流电阻值R75的换算
变压器绕组的电阻大小受温度影响,测量时,应记录当时的环境温度(最好测出绕组温度)。没有浸油的变压器,以室温作为测试温度。已浸油的,以油面温度作为测试温度。若变压器运行后,绕组温度比室温高得多,最好待温度降低到稳定后再测量。有关R75换算方法,参见相关资料,此处省略。


上一篇:用EDMA传输数字视频信号