全球最实用的IT互联网信息网站!

AI人工智能P2P分享&下载搜索网页发布信息网站地图

当前位置:诺佳网 > 电子/半导体 > 音视频/家电 >

通过输出阻抗的有源组合降低匹配损耗

时间:2009-02-23 11:29

人气:

作者:admin

标签: 匹配 

导读:通过输出阻抗的有源组合降低匹配损耗-通过输出阻抗的有源组合降低匹配损耗摘要:在高速传输线应用...

通过输出阻抗的有源组合降低匹配损耗

摘要:在高速传输线应用中,线路驱动电路的输出阻抗与线路相匹配非常重要。一般通过电阻实现匹配,而采用有源阻抗组合方法更具优势。本应用笔记介绍怎样使用运算放大器的正反馈来实现所需的输出阻抗。给出了低噪声音频以及视频运算放大器驱动50Ω至600Ω负载的公式和电路实例。

匹配需求

在传输线驱动应用中,电路输出阻抗非常重要。传输线阻抗由导体和绝缘体的物理尺寸决定,必须在发送端和接收端同时达到匹配,才能把信号反射降到最小。当驱动电路和接收端特征阻抗不完全匹配时,并不能将所有信号能量传送给负载。部分能量被反射回来,使传送给负载的信号出现失真(有时甚至完全抵消)。

RF工程师在同轴电缆上需要精确的50Ω匹配,视频传输工程师在所采用的电缆上需要精确的75Ω匹配,而广播设备工程师在音频电路上需要精确的600Ω匹配。其他的标准匹配值有110Ω、120Ω和500Ω。匹配要求并不仅限于模拟信号。数字信号同样依靠精确的线路匹配才能实现无误码高速传输。

无源阻抗匹配

匹配的常用方法是使用具有较低输出阻抗的缓冲放大器,增加一个满足要求的串联电阻。当前置缓冲放大器在整个带宽内具有低输出阻抗时,该方法比较简单。

简单添加电阻的方法存在的一个重要缺陷是:在缓冲输出与匹配负载之间有6dB的信号损失,从而导致较严重的信号余量损失,特别是在单电源供电系统。

图1所示的闭环缓冲放大器中,在反馈环路外部加入了串联电阻,以设置放大器的等效输出阻抗。

图1. 简单无源匹配
图1. 简单无源匹配

注意,在图1中,负载电流IFORWARD由VO/RLOAD决定。

当VIN等于零时,合成输出阻抗ROUT由VO/IREVERSE决定。

这里,默认运算放大器的闭环输出阻抗在很宽频带内保持非常低的阻值,可以忽略。因此,由所选电阻设置输出阻抗。图1中,串联电阻RΘ设置IC1的输出等效阻抗。RΘ = RLOAD = ROUT实现正确的后向匹配。运算放大器开环输出阻抗表示为ROOL

电压增益由下式给出:



误差项由下式给出:



输出阻抗由下式给出:



误差项由下式给出:



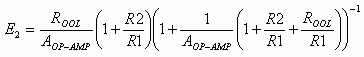
给出了运算放大器有限开环增益(AOP-AMP)导致的误差。

假设理想运算放大器的开环增益为无穷大。



假设理想运算放大器的开环增益为无穷大。



图1的优点:
  1. 简捷,选择RΘ满足所需的匹配值。
  2. 适当的短路保护。
  3. R1-R2和RΘ之间没有一阶串扰。
  4. 支持反相和同相放大。
图1的缺点:
  1. 当RΘ = RLOAD (后向匹配)时,放大器输出引脚(V'O)和负载驱动点(VO)之间至少有6dB损耗。最大输出峰峰值电压摆幅总是小于电源总电压的一半。
  2. 要求运算放大器增益带宽加倍。
  3. 运算放大器开环输出阻抗影响高频结果。

输出阻抗有源组合

值得庆幸的是可以找到一种方法设置输出阻抗,降低增益损失。谨慎利用电压差分放大器的正反馈,提高阻值较小的输出电流检测电阻,使其达到所需的最终值。

图2. 单路运算放大器有源匹配
图2. 单路运算放大器有源匹配

注意,图2中,负载电流IFORWARD由VO/RLOAD决定。

当VIN等于零时,组合输出阻抗ROUT由VO/IREVERSE决定。

图2所示的单路运算放大器同时具有正反馈和负反馈环路,由它们设置增益和输出阻抗。RΘ与负载串联,用于采样负载电流。R3和R4正反馈用于放大RΘ的等效值。为保持电路稳定,必须以负反馈为主,这限制了增益。

包含运算放大器开环输出阻抗,在环路增益开始衰减的高频端,使ROOL能够接近RΘ。

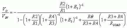
图2所示电压增益由下式给出:



误差项由下式给出:



图2输出阻抗由下式给出:



给出运算放大器有限开环增益导致的误差。

注意,图2电路输入与输出信号反相。

假设理想运算放大器开环增益为无穷大,输出阻抗为:



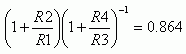
一般而言,[RΘ / [R3 + R4]]项 << [1 + R2 / R1][1 + R4 / R3]-1,因此,可以忽略。



假设理想运算放大器开环增益为无穷大,电压增益为:



将输出阻抗重新带入增益公式:



通常,在反相匹配应用中,RLOAD = ROUT。因此:



图2的优点:
  1. 大大降低了放大器输出端(V'O)与负载驱动点(VO)之间的损耗。如果RΘ = 0.1RLOAD,损耗只有0.83dB。换句话说,与无源匹配的情况相比,大大提高了给定电源供电时的峰峰值输出电压摆幅。
  2. 主输出具有适当的短路保护。
  3. 使用方便。
图2的缺点:
  1. 正反馈和负反馈并存,为保持稳定,需始终保持以负反馈为主。
  2. R1-R4之间存在串扰,只适合固定增益和匹配的情况。
  3. 只适用于反相放大架构。
  4. 与完全负反馈架构相比,正反馈会增大失真。

输出阻抗测量

有几种简单的方法来测量电路的等效输出匹配的阻抗模。待测电路输出阻抗的测量如图3所示,待测电路输入接地。

图3. 输出阻抗测量
图3. 输出阻抗测量

图3a中最简单的方法是针对特定频率设置RSET,使|E2|等于½|E1|。RSET等效值等于待测电路的ZOUT,在测试频率下,ZOUT表现为纯电阻才会出现这种情况。任何电抗分量都会在所谓的“6dB”方法中引入较大误差。

更精确的方法是调整RSET,使|E2|小于|E1| 20dB,由此:

|ROUT| = RSET / 9

特别是,RSET可以固定为待测标称电阻的10倍,E1和E2之比得出“ZOUT”值。

如果比值为40dB:

|ROUT|由RSET/99确定。

使用40dB比值时需要非常谨慎,原因是源电压可能会大于待测电路的击穿电压,这取决于是否采用了低电压运算放大器。

第二种方法是使用合适的网络分析仪。

第三种方法为有源阻抗提升技术,直接测量检流电阻RΘ上的电压和相位。从电压差可以得出组合输出阻抗为:

请参考图2。


根据图2,考虑R3和R4与输出并联的影响。


来自测试源的输入驱动电压是VO (在图2中),运算放大器输出的反射电压是VO' (图2中)。可以使用矢量电压表提取出振幅和相位差。由Cosq进一步修改VO'/VO比。该方法最大的缺点是在出现相对较大的信号电平时,需要确定RΘ上较小的电压差。

设计

如果要求在特定输出阻抗下保证放大器与最终输出之间损耗最小,可以选择图2所示电路。RLOAD和ROUT都是已知量。选择RΘ尽可能小,以确保整个电路稳定。

RΘ应该“提升”多大? 比较合理的上限值是x10 (即,RΘ = 0.1 RLOAD)。这将产生0.83dB的匹配损耗。应对每一情况进行详细分析,但是,某些变量,例如开环输出电阻,很难和数据资料规范保持一致。电阻提升的越多,正反馈就越大,相位余量减小,增大了闭环失真。最终选择的“提升”值将是匹配损耗和其他闭环参数的最佳折衷,应选择具有单位增益稳定性的运算放大器。

确保负反馈环路时间常数控制整个环路,这意味着理想情况下,正反馈环路应在负反馈环路之前开始衰减。请参考图2,负反馈环路的一阶时间常数(TC)是:



正反馈环路的时间常数为:



CCOM = 运算放大器同相和反相端输入的共模电容,设:TC(-) < TC(+)。

假设运算放大器输入电容大于反馈环路电阻的杂散电容。在宽频带应用中,最好将R1-R4分成两个阻值相等的电阻,有效减小杂散电容。

如果实际电路没有自激,可能存在带内响应尖峰。可以采用小信号(50mV至100mV)正弦波扫描电路,对此进行检查,确定并画出闭环频率响应(带负载),调整反馈时间常数纠正任何带内尖峰。

例1

600Ω单端音频电缆有源匹配。
电源电压 = +5V
增益 = 1 (0dB)
ROUT = RLOAD = 600Ω
选择匹配损耗 = 1dB

之所以选择MAX4475运算放大器,是因为它具有极低失真,并具有优异的带宽和输出驱动能力以及单位增益稳定。



ROUT = RLOAD,增益 = 1。



出于测试目的,RLOAD = 600R,RΘ = 75R作为首选。RΘ = 0.125RLOAD

R2 = 0.25R1

使R1 = 10k,那么R2 = 2.5k。使用R2 = 2.4k + 100R。那么:



假设RΘ,RLOAD = ROUT,如前所示。

这一比例提供了RΘ提升值。

R4 = 0.428R3

使R3 = 10k。那么,R4 = 4.28k。使用R4 = 4.3k。

图4. 例1 (为简单起见,没有标出电源去耦)
图4. 例1 (为简单起见,没有标出电源去耦)

表1. 增益和频率[0dB = 137.5mVRMS]
Frequency (kHz) Gain (dB) Phase (Deg)
100 -0.3 5.6
220 -0.5 14
430 -1.0 23
580 -1.5 29
710 -2.0 33
830 -2.5 37
940 -3.0 39
1050 -3.5 47
1170 -4.0 52
1370 -5.0 62

表2. RSET = 6.2kΩ (图3) 0dB = 486mVRMS电压差
Frequency (kHz) dB (across 6.2kΩ) ROUT (Ω)
100 -21.5 517
220 -21.8 502
430 -22.4 468
580 -23.2 429
710 -24 392
830 -24.6 364
940 -25.2 340
1050 -26 313
1170 -26.6 287
1370 -28 249

计算增益 = -0.18dB,数值如上所示。

计算输出阻抗 = 572Ω。这一数值由R3+R4 || ROUT减去计算值得到。

例2

50Ω单端有源匹配的宽带电缆驱动。
电源电压 = +5V
增益 = 1 (0dB)
ROUT = RLOAD = 50Ω
选择匹配损耗 = 1dB

之所以选择MAX4265运算放大器,是因为它具有极低失真,并具有优异的带宽和输出驱动能力以及单位增益稳定。

对于1dB匹配损耗。


出于测试目的,RLOAD = 50R,RΘ = 6.8R作为首选。RΘ = 0.136RLOAD

R2 = 0.272R1

使R1 = 1k。那么,R2 = 272R。使用R2 = 270R作为首选。那么:



当RΘ和RLOAD = ROUT时,如上所示。

这一比例提供了RΘ的提升值。

R4 = 0.472R3

使R3 = 1k。那么,R3 = 472R。使用R3 = 470R作为首选。

图5. 例2 (为简单起见,没有标出电源去耦)
图5. 例2 (为简单起见,没有标出电源去耦)

表3. 增益和频率0dB = 70mVRMS
Frequency (MHz) Gain (dB) Phase (Deg)
1.0 -0.3 0
2.0 -0.3 -3.5
4.0 -0.4 -10.25
6.0 -0.7 -16.5
8.0 -1.0 -23.5
10.0 -1.3 -30
15.0 -2.3 -44
20.0 -3.5 -58
30.0 -7.0 87

表4. RSET = 510R (图3) 0dB = 225mVRMS电压差
Frequency (MHz) dB Across 510Ω Phase (Deg) ROUT (Ω)
1.0 -21 -3.2 45.4
2.0 -21 -4.4 45.4
4.0 -21 -7.25 45.4
8.0 -21.8 -14.5 41.45
10 -22.1 -15.5 40
20 -23.7 -21 33.3

计算增益 = -0.63dB,数值如上所示,考虑了没有包含在R1中的额外50Ω源阻抗。

计算输出阻抗 = 45.5Ω。这一数值由R3 + R4 || ROUT减去计算值得到。

结论

在常用的电压模式差分运算放大器中谨慎利用正反馈,可以得到比负反馈更大的输出阻抗。适用于单电源供电放大器的设计,驱动级放大器必须驱动源阻抗负载。与标准的无源匹配相比,可以获得5dB的匹配“增益”。

表达式有助于深入了解开环增益和输出阻抗对最终闭环性能的影响。本文提供了电路实例,演示了电路的易用性。

温馨提示:以上内容整理于网络,仅供参考,如果对您有帮助,留下您的阅读感言吧!
相关阅读
本类排行
相关标签
本类推荐

CPU | 内存 | 硬盘 | 显卡 | 显示器 | 主板 | 电源 | 键鼠 | 网站地图

Copyright © 2025-2035 诺佳网 版权所有 备案号:赣ICP备2025066733号
本站资料均来源互联网收集整理,作品版权归作者所有,如果侵犯了您的版权,请跟我们联系。

关注微信