时间:2024-01-29 15:28
人气:
作者:admin
白光发光 LED 已被证明是一项颠覆性技术,挑战所有旧形式的光产生方式。其潜力包括:1) 超长寿命(》35,000 小时)、2) 极高光效(理论上约为 250 流明/瓦)以及 3) 低温运行已席卷照明市场。这些对技术的巨大期望促使 LED 制造商和整个行业制定测试标准,以确保照明产品体现消费者所期望的性能,无论是终用户还是 OEM 制造商。与普通灯丝白炽灯不同,LED 不会“烧坏”,而是可能会根据工作条件逐渐经历光输出下降。
LED 为何会退化?
LED 是复杂的固态器件。图 1 显示了典型器件的横截面,显示了构成封装 LED 的各种结构。为简单起见,我们将组件分为 3 个区域。首先,包含 p/n 结的半导体器件,在传统白光 LED 的情况下,实际上会产生波长约为 450 nm 的蓝光。其次是磷光体层,它吸收蓝光并将其转换为宽频带的颜色,眼睛将其感知为白色,其方式与荧光灯管大致相同。,有一系列透明层封装半导体和准直出射光的透镜。这三个区域中的每一个都可能参与设备的退化,尽管通过不同的机制。

半导体结。LED 制造商非常重视构成二极管 p/n 结的半导体的工艺和成分。然而,目前所有器件均由归类为 III-V 族材料的材料组成:Ga、In 或 Al 与元素周期表相应第 3 列和第 5 列中的 N、P、As 组合。事实上,所有商业器件都是异质结,这意味着它们是不同化合物的组合。此外,它们是单晶结构,依靠化学气相沉积的外延生长来形成。这些层生长在蓝宝石或碳化硅等基板上。它们通常是复杂的层状结构,即所谓的“量子阱”,可以仔细操纵电子过程,以限度地将电荷转化为光。这些不同材料组合的后果之一是由于层间原子晶格尺寸和热膨胀系数的不匹配而产生缺陷。这些缺陷的结果是晶格结构中的原子缺陷,无论是在材料的本体中还是在不同材料之间的界面处。为了产生从多数载流子注入的光电子,n型掺杂层与从结内的p型接触注入的空穴复合以形成蓝光。然而,并非所有电子和空穴都会重新结合来产生光,否则我们将拥有更高的性能!载流子的非辐射复合可能通过多种机制发生,但从可靠性的角度来看,重要的机制发生在半导体内的这些缺陷处。由于这些缺陷的能级低于半导体的导带和价带,因此它们充当电子和空穴非辐射复合的方式,从而发出热量而不是光。该能量可能非常大,与化学键的能量相当,从而通过化学键的位移或断裂产生更多缺陷。这会引发滚雪球效应,并随着时间的推移而加速。图 2 是半导体的简化能带图,显示了各种复合过程。在化学键的能量的数量级上,从而通过化学键的位移或断裂产生更多的缺陷。这会引发滚雪球效应,并随着时间的推移而加速。图 2 是半导体的简化能带图,显示了各种复合过程。在化学键的能量的数量级上,从而通过化学键的位移或断裂产生更多的缺陷。这会引发滚雪球效应,并随着时间的推移而加速。图 2 是半导体的简化能带图,显示了各种复合过程。

荧光粉。荧光粉将 LED 发出的 450 nm 蓝光转换为可见光谱的各种颜色,从而产生白光。它们通过吸收蓝光并以受控方式损失部分光子能量,在较宽的波长带上将蓝色下转换为红色、绿色和蓝色来实现这一点。这些磷光体通常是复杂的稀土硅酸盐或氧化物,并且可以进行掺杂以确保特定的发射波长。虽然这些材料是多晶的,并且已经包含许多原子缺陷,但上一节中描述的重组在这里也很活跃。此外,化学过程(例如与水蒸气或其他化合物的反应)也可能导致降解。因为这些效果高度依赖于荧光粉的化学成分,由于所使用的荧光粉是专有设计的一部分,因此 LED 之间可能存在相当大的差异。即使在制造商的产品线中,通常也会使用不同的磷光体,或者以不同的方式应用它们,从而产生特定的行为。
透镜和密封剂。用于准直从半导体芯片荧光体结构发出的光的透明透镜和保护性封装材料必须在 LED 的整个使用寿命期间保持高透射率。由于 LED 在升高的温度和湿度下工作,因此这里也可能会发生性能退化。此外,从 LED 荧光粉中射出的蓝光也可能在变暗过程中发挥作用。再次强调,镜片的具体化学成分和结构将决定其在正常和不利环境下的行为,并且高度依赖于工艺和成分。
结论。LED 工作期间发生的复杂电气和化学过程会导致光输出下降,很难通过简单的分析表达式进行量化。虽然对其中一个或两个过程进行数学描述是可能的,但这些过程复杂的重叠和相互依赖使其目前不可能。
标准:LM-80 和 TM-21
照明工程学会 (IES) 制定了 LED 测试标准,以便能够以一致的方式表征性能和可靠性,以评估其实际寿命。LM-80 一项标准描述了用于确定 LED 的“流明维持率”(即光输出与时间的关系)的方法。测试协议规定的基本特征是:
- 环境和 LED 外壳温度和方向
- 驱动电压、电流和波形 -
仪器
该标准要求在环境空气温度为 25°C、LED 外壳温度为 55°C、85°C 以及制造商选择的其他温度下测量光输出。驱动电流由制造商指定,因为该电流随 LED 芯片面积的变化而变化。测量时间至少为 6000 小时(为 10,000 小时),间隔多为 1000 小时。一线制造商的常见做法是采用几种不同的驱动电流。正如我们稍后将看到的,这对于我们确保 LED 寿命的方法非常重要。
尽管 LM-80 提供了一种在标准化条件下测量光输出随时间变化的统一方法,但实际上 LED 的使用温度可能与 LM-80 值有很大不同。而且,由于这不是加速测试方法,因此需要很长时间才能得出可靠性结论。另一项更新的 IES 标准 TM-21 有助于解决这一困境。该标准实际上是 LED 退化的“临时”模型,允许在温度之间插入时间-温度数据,并将数据外推到未来,以预测长时间内的输出。该标准的要点是:
- 假设光输出 (LOP) 呈指数下降
- LOP 可在时间上外推 6 倍
- 温度之间的插值基于“活化能”
用数学术语来说,光输出的减少可以表示为:

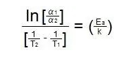
其中 L(t) 是时间 t 时的流明输出,B 是 0 或 1 小时时的归一化光输出,α 是衰减率,它是温度的函数。根据 Arrehenius 表达式,α 的值随温度变化,

其中 Ea 是活化能,k 是玻尔兹曼常数,T 是开尔文温度,C 是常数。TM-21 标准仅允许对温度数据进行插值,因此对于两个温度 T1 和 T2,我们可以计算激活因子 Ea/k,如下所示:

一旦激活因子已知,就可以直接根据中间温度的 Arrehenius 表达式计算衰减率以及由此产生的时间依赖性。图 8 显示了真实 LOP 数据以及基于这些计算的外推和内插值的图表(参考:Mark Richman LEDs 杂志)。

驱动电流对流明维持率的重要作用
LED 的驱动电流在决定流明维持率方面起着重要作用。正如本文开头所讨论的,半导体中的复合会导致缺陷增加和辐射效率降低。因此,按理说,驱动电流必定在流明衰减中发挥重要作用。不幸的是,目前没有标准建议在这种情况下进行测试,并且由 LED 制造商选择测试中使用的电流值。幸运的是,制造商做出了明智的选择,并且拥有大量数据。
图 7 生动地说明了驱动电流的重要性,尤其是在高温下。在此图表中,TM-21 用于推断半导体结温约为 127oC 时 LED 的流明维持数据。可以清楚地看到,随着电流从 0.35 A 上升到 1 Amp,退化速率有非常大的增加。从该图表中还可以看出,L70 值(光输出减少至初始值的 70%)从 0.35 安培时的 91,000 小时以上减少到 1 安培时的 22,900 小时,有效使用寿命大幅缩短。(严格来说,LM-21 只允许在时间相关数据之外进行 6 倍外推;我显然已经超越了这一点来说明这一点)

LEDSense技术的重要性
鉴于在高电流水平下运行会导致流明维持率大幅降低,因此在驱动电子设备中提供一种方法来保护 LED 照明产品的运行非常重要。热折返提供了这样的安全网。热折背很重要,因为:
-无论条件如何,它都可以实现亮度和长使用寿命
-它为 OEM 提供了“无忧”的解决方案
-它几乎消除了现场安装不良的后果
TerraLUX 的热折返实施称为 LEDSense?,采用微处理器控制的恒流驱动器。图 5 所示为 LEDSense 电路基本特征的框图。根据输入电压范围和决定所需输出电压的 LED 灯串长度,使用各种降压或升压拓扑。LED 的温度通过位于器件热路径中的热敏电阻进行测量,从而确定 LED 的工作温度。微处理器通过 A/D 转换器测量该值,并通过内置算法将其与 LED 的已知工作特性进行比较。然后处理器通过其 D/A 转换器设置驱动器的电流。通过正确设计和操作的灯具-光引擎组合,电流(和温度)保持在预定的安全水平。如果温度超过预设阈值,处理器中的算法会通过固件算法逐渐降低当前设定点,以确保 LED 的使用寿命。微处理器还用于分析电源波形,以便根据所使用的特定调光器-变压器组合定制驱动器操作,从而为 OEM 制造商带来额外的好处。

由此产生的性能特性如图 6 所示。该图比较了两个 LED 光引擎示例的驱动电流与 LED 温度,个(蓝色方块)没有使用 LEDSense 技术,另一个(红色圆圈)使用 LEDSense 技术。在此示例中,外部控制的温度是光引擎散热器背面的温度,但我们绘制了 LED 的块状温度;蓝色虚线旨在说明由组件热阻和驱动功率水平导致的温度偏移。
还显示了根据 TM-21 标准为 LED 计算的 L70 时间(尽管我再次将其延长到低电流条件下的建议时间之外)。LED温度不受控制,但在电流下工作的情况下,其值显着缩短,仅为13,900小时。相比之下,LEDSense 功能已将电流降低到有效“抵消”现有高温条件对寿命的负面影响的程度。尽管在这种情况下,用户会注意到明显的变暗,但由于眼睛在高亮度下不敏感,不太明显的过温情况可能很难检测到。尽管如此,即使在仅有轻微过热情况的区域,LEDSense 算法也能保证 LED 的安全。

结论
业界已制定了综合标准来测试 LED 并描述其随时间的退化情况。然而到目前为止,这些标准仅允许根据工作温度进行预测。我们已经证明,驱动电流与工作温度的结合对 L70 定义的 LED 寿命具有极其重要的影响。热折返提供了一种有用的方法来确保控制在 LED 的安全工作范围内;TerraLUX 的 LEDSense? 技术具有定量控制算法的额外优势,可确保 LED 寿命和光输出。
下一篇:让LED灯与电子变压器兼容