时间:2023-02-23 09:22
人气:
作者:admin
1、为何需要白平衡?
讨论白平衡,那就要从色温(CCT)谈起,色温顾名思义就是色彩的温度,但是这个色温和我们一般所认知的冷色、暖色不同,它指的是一个绝对黑体(物理学家想象出来的)从绝对零度(-273℃)开始持续加温所呈现出来的颜色,譬如在炼钢炉里给一块铁加热,就会从黑->暗红->亮红->金黄,接着就融化了,因为铁的熔点是1535℃,所以更高温度的颜色就看不到。但从焊接用的火可以看到蓝色的火焰,那是更高的温度所辐射出来的颜色。
这些颜色的差异来自于不同波长光线的比例不同,如下图所示,色温低的情况下(红色)波长较长的光线比例较大,反之亦然。那么就造成白色在高色温的光线照射下显得较蓝,在低色温的光线下显得较黄。

将不同色温下的白色在色品图上连接起来就形成了普朗克曲线:

而人眼中的白色总是R = G = B,那么白平衡所做的事情就是在不同色温条件下将图像做归一化,也就是如下将sensor响应的RGB分别乘上一个系数,使得"白色成为白色"。
R‘ = R x R_Gain
G’ = G x G_Gain
B‘ = B x B_Gain
使得R' = G' = B'。
总而言之,白平衡的目的就是让物体在不同光源条件下所呈现出来的颜色,恢复到物体的固有色。
2、白平衡的几种方法
根据白平衡的进化史,下面由远及近介绍了几种白平衡的方法。
2.1 灰世界
最初的白平衡是由Buchsbaum提出的一个叫灰世界的假说而来。这个假说指的是在一副色彩多样的图像中,最终所有颜色的平均统计值应该是一致的,也就是灰色的。
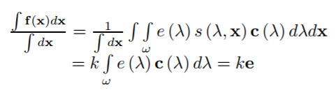
这个假说是由下列的公式推导而出。

f是图像,e(λ)代表入射光频谱,s(λ)代表物体反射率,c(λ)代表sensor的感光度,λ代表波长。

e代表sensor对光源的响应,在特定光源情况下应该是一个常数。

Buchsbaum就提出:一张普通图像的反射率对图像的积分再求平均会是一个恒定值k,也就是说图像的颜色做整体平均后会是一张灰色,也就是无色的图。
将f(x)带入公式后可以做出如下推导:

这个方法非常的简单和直观,也是最经典和传统的算法,后续算法都是在此基础上衍生而来。但是此算法有一个致命的缺陷,当背景有大片单一颜色时(比如草地,蓝天等),该算法就会导致严重的色差。
2.2 完美反射
完美反射法(perfect reflection)基于白色是将光全部反射这个基础上,也就是说图像上如果有白色区域,那么它就会呈现出该色温条件下光原本的颜色,也就是会落在普朗克曲线上。完美反射法可以很大程度的弥补灰世界法的不足,在HDR场景下效果很好,但是依赖于图像中有白色这个前提条件,倘若图像中没有白色,或者噪声很强,方法就会失效。
2.3 早期的白块法
接下来的思路就是如何找到白点/白块。早期的思路是将RGB图像先转换到某个色彩空间,譬如下图中YCbCr,Y是垂直于该平面晚些考虑,那么在原点附近就是色度接近0的区域,也就是我们要寻找的白块。将这个区域内的所有点做一个平均,平均点的坐标就认为是这个图像色温下可能的白色,然后将图像色彩根据平均点做转换,逐步收敛。
设定了区域直径后再考虑Y轴方向,只将最亮的点筛选出来认为是白点。
这个区域的直径也就是该方法主要考虑的问题,设的太大就会导致将原本不是白色的颜色纳入计算也会造成偏差,设的太小就会造成样本量太小。

2.4 基于校准的白块法
白块法在对图像要求比较高的情况下就不适用了,后来就产生了基于校准的白块法。

折线上的点是在产线上针对不同光源(D65, A光,H光等)使用标准白/灰卡纸拍出照片算出来的B_gain和R_gain坐标,黄色点是使用白点法实时计算出的坐标,那就找到一个靠近的先验值(红色点),取该点的gain值。
2.5 加权重白块法

加权白块法就是将图片分为M块,每块都计算出一个白点,将靠近折线区域(红色)的权重加高,远离的(蓝色)权重降低,再计算出一个最终白点,使用折线上的不同点做插值计算出一个最终Gain值。
这个方法的缺点在于校准需要增加产线的大量工作量。
3. 无解的白平衡场景
根据国际电联的标准ITU P910, ITU-R BT500-11,可以归纳出24个典型场景。基本可以分为“有无灰色”,“有无人”,“有无混合光源”,以及“有无大色块”这几种。
以大色块为例,在相同的亮度条件下,机器是无法区分在日光灯下的黄色纸张与白炽灯下的白色纸张。
然而人却能区分,因为人眼有一个叫做视觉恒常性的特点,人判断物体的颜色还有大脑的参与,大脑会透过对环境物体的先验认知来做校准,比如人知道草是绿色,香蕉是黄色。人脑通过这些物体来感知当前的光源情况。
很典型的如下图,实际上图中没有任何红色的像素点,然而人凭借着“草莓是红色的”这个认知做了校准,看到红色草莓,白色盘子和黄色花纹的桌子。这就是根据先验知识来做白平衡的例子。

4. 机器学习带来的希望
在传统的白平衡算法都失效的情况下,机器学习带来了模仿人脑视觉恒常性的希望。
编辑:黄飞