全球最实用的IT互联网信息网站!
AI人工智能P2P分享&下载搜索网页发布信息网站地图
光学薄膜之真空溅射镀膜技术详解
阅读全文2023-03-13
LED显示屏厂家安装LED天幕屏需要做好哪些细节?
激光光学技术:关于无源谐振腔的模式分析
微透镜阵列技术为OLED带来了什么改变
FP7209:双色温摄影棒灯方案
阅读全文2023-03-12
视频处理器对全彩LED显示屏的作用
阅读全文2023-03-10
什么是超表面?超表面或许可以取代LCD?
浅谈Hänsch-Couillaud激光稳频技术
阅读全文2023-03-09
曦智研究院发布光电混合计算系列白皮书,以大
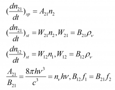
一文弄懂激光器速率方程组及基本关系式
TÜV莱茵为京东方液晶显示面板颁发碳足迹
三星显示与杜比携手推进车载OLED显示技术
浅谈显示屏的接口类型
苹果Vision Pro头显设备12月17日在中国台湾
CPU | 内存 | 硬盘 | 显卡 | 显示器 | 主板 | 电源 | 键鼠 | 网站地图
Copyright © 2025-2035 诺佳网 版权所有 备案号:赣ICP备2025066733号 本站资料均来源互联网收集整理,作品版权归作者所有,如果侵犯了您的版权,请跟我们联系。