时间:2019-03-04 10:35
人气:
作者:admin
便携式心电监护仪 前置放大电路
2.4 数字电路与模拟电路的隔离处理
对于便携式监护仪来说,它是由数字电路和模拟电路混合构成的。因此在布线时就需要考虑模拟部分与数字部分互相干扰的问题。 数字电路的频率高,模拟电路的敏感度强。对信号线来说,高频的信号线尽可能远离敏感的模拟电路器件;对地线来说,整个PC B对外界只有一个结点;在PC B板内部数字地和模拟地实际上是分开的,只是在PC B与外界连接的接口处,数字地与模拟地有一点短接。屏蔽珠又称抗干扰珠、电磁/射频干扰抑制器,它具有很好的抗高频干扰作用,在电子线路中可用来屏蔽连线 和电缆中的传导性干扰。在这里,我们选取6.8LH的屏蔽珠来隔离模拟和数字的电源。
2.5 元件的布局和PCB板的设计
在PCB板中,包含多种类型的电路,有小信号的模拟电路、高速数字电路、高频的GPRS信号等。为了避免各部分电路中信号相互耦合而产生干扰, 对不同类型的电路部分进行分离布局是PCB板设计的一个基本原则。各部分之间不仅应保持相当距离,还要分开走线。
电源系统的布线包括电源线VDD和地线VSS的布线,是系统抗干扰的一个重要部分。VDD和VSS应尽可能扩大面积,以防止因电磁能量较强而产生电磁干扰能量的发射,这也是保证高频信号到地之间具有低阻抗的措施。
2.6 对模拟电路加屏蔽的技术
微弱的心电信号埋没在周围各种频率的电磁场在人体内感应出的干扰信号中,而这些干扰信号的感应电压都是通过人体和导联线与干扰源的耦合电容或电感在起作用。加上GP RS的高频信号对送入A/ D的模拟小信号会产生相当大的影响。
所以,除了将模拟电路部分和数字电路部分分离布局以外,还要对模拟电路部分加上屏蔽罩。
3 抗干扰软件设计方案
当随机干扰信号混入输入信号时,可以采用模拟滤波器来滤除信号中无用的成分,以提高信号的质量。但是模拟滤波器在低频和甚低频时实现起 来是比较困难的,而数字滤波器则不存在这些问题。它具有高精度、高可靠性和高稳定性的特点,因而被广泛地应用于克服随机干扰引起的误差。数字滤波器的数学 运算通常有两种实现方法。一种是频域法,即利用FFT快速运算办法对输入信号进行离散傅立叶变换,根据所希望的频率特性进行滤波。另一种方法是时域法,这 种方法是通过对离散抽样数据作差分数学运算来达到滤波目的的。由于该方法简单易用,适用于实际应用。数字滤波器依据冲激响应的宽度划分为有限冲激响应滤波器( FIR)和无限冲激响应滤波器(IIR)。由于无限冲激响应滤波器具有无限记忆和运算项数较少的特点,并且对于相同阶次的数字滤波器而言, IIR具有更高的精度。故为了在保证滤波质量的前提下提高速度,我们采用IIR滤波器。
3.1低通滤波器的设计
通过使用低通滤波器,我们希望能够滤除高于EC G频率范围的高频部分。我们选取的采样频率为fs=200Hz,所以T = 5ms.根据ECG的频率范围,我们选取截止频率fc=99Hz,根据低通滤波器设计数据表,我们选取通带最大衰减宽度rp =0.1dB,选取阻带最小衰减rs =60dB,阶数n=4.根据Matlab的设计结果,得出算法程序的公式:

3.2带阻滤波器的设计
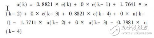
通过实验发现,单独依靠模拟带阻滤波器来消除50Hz工频干扰,效果是不理想的。为此,我们再采用数字滤波器来消除工频干扰。我们选取 的采样频率为fs=200Hz,所以T=5ms.在这里,我们同样采用椭圆函数滤波器。首先,设计椭圆函数滤波器的阶数。选取通带截止频率wp1=45, wp2=55,阻带截止频率为ws1= 49.8, ws2= 50.2.选取通带最大衰减宽度rp = 0.1dB,选取阻带最小衰减rs =60dB.根据Matlab的设计结果,得出算法程序的公式:



量相同的腔体组成,两腔体间有一个复合材料做的高弹性隔膜,隔膜在水压作用下可左右伸展,腔体各有一进出水口连接 三通电磁阀,三通电磁阀控制切换容量室内透析液的进出。如图2a所示工作时,电磁阀V 1中下端相通,水在脱水泵驱动下进入A室,隔膜向左伸展A室容量增大,同时电磁阀V2上下端相通, B室中的水在A隔膜的挤压下排出B室,经过送液传感器。送液传感器用以监测容量室透析液的流动,当检测到容量室排尽时,发出控制信号切换电磁阀V1、V 2的工作状态(如图2b) ,电磁阀V 2中下端相通,水进入B室,隔膜向右伸展,同时电磁阀V 1上下端相通, A室中的水排出。送液传感器重新检测到流量,直至容量室排尽再次切换V1、V 2工作状态。在容量室的容量固定的情况,送液传感器对电磁阀切换进行计数即可精确的计算出透析液的送液量。透析液经送液传感器进入由流量控制阀与流量反馈 阀组成的平均流量控制单元,流量控制阀是一个三通可控阀,排出流量等于进液量减去反馈量,只要控制反馈量大小即可控制透析液的平均流量,流量反馈阀由直流 电机控制,精度为? 5ml/ min,透析液的平均流量在( 400~ 600) ml/min连续可调。当A液监测传感器监测的透析液电导度及温度监测值在设定范围内时,旁路三通电磁阀V14左右端相通,电磁阀V15打开,透析液进入透析器,与血液进行离子交换后的废液从透析器另一端流出,经过滤器、V15、透析压力传感器进入漏血检测器。漏血检测器是红细胞探测 器,防止当透析器中的透析膜破裂后透析液进入血液,保证治疗安全。
检测灵敏度可调范围为( 200~ 1000) ppm,即1L透析液中只要混有( 0.2~ 1) ml的血液,检测器就可以检出并发出报警。透析液压力传感器用以监测透析液压力,防止透析压力过高造成透析膜破裂,危及透析安全及影响治疗效果。
流出漏血检测器的透析废液经负压泵进入脱气室,废液中混入的空气集于密闭的脱气室上方,脱气室内浮动开关打开电磁阀V8排出空气,保证了排液容量室流量精 度。透析废液经排液容量室、排液传感器、POD( Pressure Offset Device)、热交换器排出机器。负压泵是个直流可调速泵,根据设定的病人脱水速度( 0~ 5.99L/ h)控制泵转速,控制电压在8V~ 21V ,泵前压力即透析液压力从70mmHg到- 400mmHg.排液容量室和排液传感器的结构原理与送液容量室和送液传感器相同,可精确计算出透析废液的排液量。病人的实际脱水量等于排液量减去送液 量,只要精确控制负压泵的转速,即可控制病人的脱水速度及总的脱水量,脱水精度达到? 30ml/h.压力补偿装置PO D的一端通过电磁阀V 7与病人的静脉压力检测口相通,是为防止由于病人静脉压波动引起跨膜压TMP( Transmembr ane Pressure)波动过大,影响脱水精度。热交换器是利用排出的废液温度对进入透析机的反渗水进行预热。
在"消毒"、"酸洗"状态时,主水路工作状态 不变,只是旁路三通电磁阀V14右上端相通,电磁阀V15关闭,水流不进入透析器起到一个安全防护作用。将A液和B液的吸管分别插入各自的冲洗腔,电磁阀V9、V10、V11打开,消毒液、酸洗液在A液泵、 B液泵的作用下经V9、V 10、V11、AB液冲洗腔进入主水路,对整个水路系统进行消毒及酸洗。
在/清洗0状态时,主水路工作状态同 /消毒0状态,只是将A液、B液、消毒液、酸洗液的吸管分别插入各自的冲洗腔,电磁阀V9、V10、V11打开, A液泵和B液泵反转,水由主管路经A B液冲洗腔、V9、V10、V11、消毒液冲洗腔、酸洗液冲洗腔、单向阀、由出水口排出机器,在对整个水路清洗的同时,也清洗了吸管和冲洗腔。
JM S S DS- 20血液透析机的水路系统与其它品牌的血透机(如Fr esen ius费森尤斯、Nikk iso日机装等)相比,最大的特点是取消了超滤泵,由负压泵同时完成负压脱气与超滤功能,配合进出液容量室及POD精确控制超滤,简化了水路系统,降低了 机器成本,但实现了同样的功能。
4结束语
作为便携式监护仪器,硬件结构简单、体积便于携带是其自身固有的特点。本文针对这些特点,提出了采用单极性供电方 式实现前置放大电路的设计思想,同时也论述了心电信号抗干扰的设计方案。本文着重介绍了抗干扰的硬件解决方案,而要满足便携式仪器的这些基本特点,软件抗 干扰解决方案的重要地位则是不可忽视的。为此,我们把这一部分放在以后的心电信号预处理中加以详细介绍。