时间:2009-10-30 11:59
人气:
作者:admin
CMOS两级运算放大器调零电路性能分析
运算放大器的高速性能主要靠两个重要的参数来衡量,即大信号响应时间和小信号响应时间。大信号响应时间由摆率决定,小信号响应则由建立时间或单位增益带宽来决定。提高运放速度的方法有多种多样[1][2][3],折叠式运算放大器有功耗较大,折叠点处寄生电容高等缺点[1];采用套筒式运放结构,如果采用二阶结构,则会造成较大的功耗,采用一阶结构则会限制差分输出摆幅[2];反馈结构放大器也存在问题,一是匹配问题不易实现,二是电路的输出跨导受输出信号的影响较大[3]。
本文介绍的典型基本二级运算放大器具有结构简单、在密勒电容的调节下工作稳定、有较大的开环增益等特点,但是其单位增益带宽较小,所以通过对基本二级CMOS运放结构增加调零电阻,在不改变其他参数的情况下通过抵消二级极点扩展单位增益带宽。调零电阻偏差分析对实现运算放大器频率特性具有十分重要的意义,通过讨论,本文提出了对调零电阻偏差影响的分析方法。
二级运算放大器调零电路结构设计技术
基本二级CMOS运放结构如图1所示,图1中的M1和M2管决定了运放的单位增益带宽(GB),M3和M4决定了运放的最大共模输入电压,M5管决定了运放的最小输入共模电压,M6和M7管则决定了运放的最大和最小输出电压。密勒电容Cc为了使运放有较好的相位裕度,防止电路自激。Cc和偏置电流决定了运放的摆率(即)。根据电路的小信号等效电路(图2)可以列出电路的传输函数(公式(1)),零极点(公式(2))。电路的GB值和相位裕度ΦM公式如公式(3)。
(1)
![]()

表1 二级运算放大器电路MOS管宽长比
表2 电路结构零极点仿真结果
(2)式中 
(3)
用HSPICE软件在BSIM3V3模型AA1833C05工艺下对图1电路进行仿真测试,仿真结果如图3所示,其单位增益带宽为7.17MHz,功耗865W。图3中虚线为相频特性曲线,图中可得在0dB的频率点处的相位是130o,有60o的相位裕度。
根据公式(2)可以看出,密勒电容Cc的引入,增加了零点,限制了GB,如果零点不存在,则可以进一步扩展GB的值。可以通过一种调零电阻的方法来抵消零点的影响[1],电路的小信号等效图如图4所示,新的电路结构如图5所示。图5中的调零电阻R的引入使得电路的传输函数如公式(4),新的零极点如公式(5)。
(5)由于,电路的GB值和相位裕度ФM公式变为:
为了抵消二级极点有:
要保证好的稳定性,即有60o的相位裕量,根据公式(6)则需有:
联立两个公式(7)和(8)得Cc和R。在设计时三级极点()远大于四级极点,最后使得单位增益带宽主要由p4来决定。
假设相位裕度为60o,通过对图1的仿真结果数据和公式(6)、(7)得Cc=1.65pF ,R=6788.5Ω。对图5的电路进行仿真,仿真结果如图6,从图中可得电路的单位增益带宽扩展为13.4MHz,而且相位裕量为60.5o。图5电路结构零极点如表2所示。从表中可以看出电路的二级极点等于一级零点,可以相互抵消。
调零电路容差分析
由于工艺的限制,电阻值很难精确到6788.5Ω。密勒电容Cc也存在同样的问题,所以本文将较为详细地研究电容和电阻的容差分析,根据公式(6)得,

![]()

在Cadence环境下,仍然采用BSIM3V3模型AA1833C05工艺下对图5中调零电阻R和密勒电容Cc的偏差引起的相频特性曲线变化进行仿真测试,仿真结果如图7和图8所示。根据公式(11)得出,相位裕度随着CC的增大非线性增大(如图7左图),当CC变化较小时,相位裕度近似的是CC的一次正比函数(如图7右图),根据图7 得出当CC增加5%,相位裕度增加了3.4%。图8是相位裕度随调零电阻变化的特性曲线,图中可以看出,调零电阻在小于7.5Ω时,相位裕度非线性增加,当大于7.5kΩ时,相位裕度非线性减小。根据公式(10)也可以看出,当R=1/2gm6=7.5kΩ时,电路有最大的相位裕度。
根据公式(6)和公式(7)可以得出:
(12)
(13)
(14)
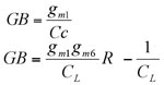
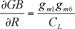
仿真结果如图9和图10所示。根据公式(6)GB是CC的反比例函数, GB随CC的变化率为
,图9的左图验证了公式(13),右图说明CC在小的变化范围内GB近似的是CC的一次反比函数。当CC增加了5%,GB减小了15%。根据公式(12)得出GB是R的一次正比函数。GB随R的变化率为
。根据图10当R增加7.7%,GB增加3.2%。
结语
通过增加调零电阻可以扩展基本二级CMOS电路的单位增益带宽,而且通过调整密勒电容的值还能保证电路有相同的相位裕量,从而保证电路的稳定性。根据计算公式以及实验仿真结果可以看出,随着R的增大,GB值增大,但是相位裕度会非线性减小,在保证相位裕度大于60o的条件下,R的变化范围在15%之内。密勒电容Cc增加5%,GB减小了15%,相位裕度增加了3.4%。较小的相位裕度增量要牺牲较大的单位增益带宽,在应用中要根据实际要求寻求一个平衡点。
上一篇:热转印制作电路板完全教程