时间:2009-05-06 20:27
人气:
作者:admin
1 引 言
测量跳频电台参数一般要求快捷、准确,如某型超短波跳频电台,跳速约200跳/秒,频率稳定度±10-6,那么,为对其进行测试,比如测试跳频频谱,我们的检测设备必需在每个波道频率点稳定的很短的驻留时间(该型电台约5ms)内测出其频率,同时,精度要高于电台本身的频率稳定度至少一个数量级才可靠。也就是说,检测设备要有快速高精度测频的能力。在1ms时间内测频精度达到1×10-8。为此,我们所用的检测设备采用了等精度测频加内插扩展的办法,可以保证在整个测试范围内有相同的精度,在小于驻留时间的时间闸门上能达到系统要求的精度。具体实现时将数字电路集成到一片可编程逻辑器件中,减小了体积和功耗,提高了性能。
2 快速高精度测频技术
即用内插来减小计数误差的等精度测频法。它采用多周期同步测量,在整数个被测信号周期内对频标信号计数,在整个频率测量范围内有相同的精度和分辨率。再加上内插扩展的作用,使之在电台的全部工作频率上都有较高的精度。图1是等精度测频和内插扩展提高测频精度的原理。
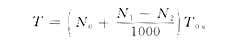
计数闸门在测频预置门打开后的第一个被测信号的有效沿到来后才开启,计数器N0(表示对标频的计数)、Nx(表示对被测信号的计数)开始计数;到时间预定值时,预置门关闭,但此时计数闸门仍未关闭,计数器N0、Nx是在此后紧接着的下一个被测信号有效沿到来后才关闭计数闸门,停止计数。实际闸门为T,保证被测信号与闸门时间同步。显然,在时间T内两个计数器的值分别为:
Nx=Fx×T, N0=F0×T,
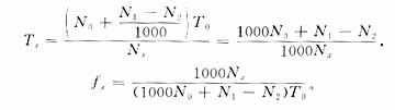
所以,被测信号![]()
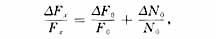
信号与闸门时间同步保证了闸门时间T等于被测信号周期的整数倍,计数值Nx没有±1计数误差,所以,等精度测频的误差表示为:![]()
两项中因标频信号F0精度很高,误差△F0/F0很小,所以,另用内插扩展来减小N0计数误差对测频精度带来的影响。
内插扩展要测出量化单位以下的尾数。它实际上要进行三项测量:(1)同步门开启后第一个标频和门关闭后第一个标频间的时间间隔,(即图1中的N0·T0);(2)同步门开启和第一个进入计数器的标频间的时间间隔T1;(3)同步门关闭和紧随后的标频间的时
间间隔T2。N0·T0是被测时间间隔内计得的N0个标频脉冲的时间。


T1和T2的测量是先用扩展器将它们放大1000倍,用“起始”扩展器在T1时间内用一恒流源将一电容充电;随后,以充电时间T1的999倍的放电时间放电到电容原电平,扩展器的控制门由起始脉冲开启,在电容恢复至原电平时关闭。图2表示了扩展器的原理。其电容放电到原电平的时间与恒流源直接相关。扩展器控制的开门时间是T1的1000倍,即
=T1+999T1=1000T1;在
时间内计得标频脉冲数为N1,
=N1T0,故T1=N1T0/1000。类似地,用所谓“终止”扩展器将T2扩大1000倍,T2=N2T0/1000。由图1可见,N0·T0与被测的T的差别仅在于多计了T2少计了T1,故有:![]()
可见,用内插技术,虽然测N1、N2时±1字误差依然存在,但其相对大小可缩小为原来的1/1000,使计数器的分辨力提高三个量级。利用此原理测得T、T1、T2和本时间间隔内的被测信号周期数Nx,就能通过计算得到周期Tx或频率fx:
所以,我们可以在1 MHz~100MHz范围内,最小闸门时间为1ms时,实现测频精度为10-8,满足对跳频的测试要求。
3 快速测频应用于跳频电台测试
应用此项技术可以检测跳频电台的多项参数。一方面能直接测出跳频带宽、跳频频谱等频率值,同时也能与测时电路一起测出信道切换时间、AGC特性等时间值。

图3是跳频测试示意图,由图3可知,电台的换频信号一方面启动电台的换频过程,另一方面启动测时通道中计数器和测频通道的延时器开始工作。正常情况下,测频通道的延时结束时换频过程早已结束。换频过程结束促使鉴相电路输出最后一个锁存脉冲去锁存测时通道的计数值,此计数值转化为时间值即是换频时间;同时,测频通道延时结束时换频也结束了,测频通道立刻进入测频过程,测频闸门约2ms。在下一个换频脉冲到来之前,把本次测得的表示时间和频率的数据通过接口传给主机。这个测频(时)过程一直持续到事前设置的条件得到满足。表示为图4。

如果某些测试项目只要求频率值或时间值,那么,测试过程可以简化,主机间通信接口的压力也将随之缓解。
4 结束语
用这种技术测试现有的跳频电台的某些参数,只需从电台中另引出一根换频控制线,对现有电台的改动很小,不影响电台的工作,可行性强。快速测频技术在现代通信测试中有广泛的应用,这里只说明了在跳频测试中的一点应用,将其推广会有广阔的应用面。
参考文献