时间:2009-05-07 15:30
人气:
作者:admin
1.DSP/QEP电路简介
以TI公司控制领域最新产品TMS320F2812为例,它的正交编码脉冲(QEP)电路和捕获单元共用输入引脚,分别为CAPl/QEPl、CAP2/QEP2、CAP3/QEPIl(对于EVA),CAP4/QEP4、CAP5/QEP5、CAP6/QEPI2(对于EVB),可以通过设置相应的捕获单元控制寄存器使能QEP电路而禁止其捕获功能。QEP电路可以对固定在电机轴上的光电编码器产生的正交编码脉冲A、B路信号进行解码和计数,从而获得电机的位置和速率等信息。
光电编码器的正交编码脉冲输入到DSP的CAPl/QEPl、CAP2/QEP2脚,通常选择通用定时器T2(EVA)对输入的正交脉冲进行解码和计数。要使QEP电路正常工作,必须使T2工作在定向增/减模式,在此模式下,QEP电路不仅为定时器T2提供计数脉冲,而且还决定了它的计数方向。QEP电路对输入的正交编码脉冲的上升沿和下降沿都进行计数,因此对输入的正交编码脉冲进行4倍频后作为T2的计数脉冲,并通过QEP电路的方向检测逻辑确定哪个脉冲序列相位超前,然后产生一个方向信号作为T2的方向输入,当电机正转时,T2增计数,当电机反转时,T2减计数。正交编码脉冲、定时器计数脉冲及计数方向时序逻辑如图1所示。

在QEP模式下,T2CNT计数到边沿时将自动翻转,当增计数到ffffh时将返回0重新开始增计数,当减到O时,翻转到ffffh重新开始减计数,由于在采样时间内计数脉冲的数目远小于T2CNT的周期数ffffh,所以在增/减计数过程中至多有一次翻转.,图2和图3分别描述了电机正转和反转时T2CNT的计数情况。

2.光电编码器和DSP的接口电路
光电编码器可以输出3路信号,其中A路和B路信号相位相差90°,光电编码器的输出的脉冲信号经过光电隔离、滤波整形后直接送到DSP的相应引脚,其接口电路如图4所示。其中6N137是高速光耦,实现模拟信号和数字信号的隔离,74Hel4是CMOS反相器,实现对信号的整形。


3.电机位置测量
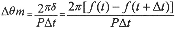
DSP/QEP电路将编码器送过来的脉冲数转换为绝对的转子轴机械位置,绝对的转子轴机械位置将存放在变量θm中。通过每一次采样周期△t内T2的计数脉冲的改变量δ,可以得到相应的位置增量△θm。如上图所示:f(t)和f(t+△t)分别表示两次相邻采样时刻的值,那么在△t时间内电机转子旋转的机械角度为:

其中:P为电机旋转一尉T2CNT的脉冲计数值
如图2所示:当T2增计数无翻转时,δ=f(t+△t)一f(t)当T2增计数有翻转时,δ=f(t+△t)-f(t)65536,此时θm=θm+△θm
如图3所示:当T2减计数无翻转时,δ=-[f(t+△t)一f(t,)]当T2减计数有翻转时,δ=-[f(t)一f(t+△t)+65536],此时θm=θm-△θm
4.电机转速测量
常见的电机测速方法主要有三种:M法、T法、和M/T法,由于M法比较适合高速的场合,而T法适合低速的场合,为了在整个调速范围内都得到较好的准确性,在这里我们选择M/T法,其原理如图5所示。

M1为测速脉冲计数值(对应前面的δ),M2为高频时钟脉冲计数值,△t为采样周期,虽然在M1个计数脉冲内,M2存在多一个少一个的误差,但由于时钟脉冲的频率远高于计数脉冲频率,引起的误差可以忽略,所以转速的计算公式为:
![]()
其中F为时钟脉冲的频率
5. 结束语
本文利用光电编码器和DSP/QEP电路实现了电机闭环控制系统转子位置及转速的测量,并在电机的仿真试验中得了较好的效果。实践证明,光电编码器和DSP/QEP的配合使用有利于提高伺服系统的控制精度,并为不同控制领域提供了高性能的数字解决方案。
上一篇:快速测频技术在跳频检测中的应用